Synthèse d'hydantoïne d'Urech
La synthèse d'hydantoïne d'Urech est une réaction organique entre un acide alpha-aminé avec le cyanate de potassium et l'acide chlorhydrique pour donner une hydantoïne[1],[2].

Synthèse d'hydantoïne d'Urech
Mécanisme réactionnel

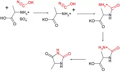
Mécanisme réactionnel de la synthèse d'hydantoïne d'Urech à partir de l'alanine
Le schéma ci-dessus présente le mécanisme réactionnel de la synthèse d'hydantoïne d'Urech dans le cas de l'alanine. La fonction amine de l'alanine est protonnée par le milieu acide (ici de l'acide sulfurique) en groupe NH3+. L'ion cyanate vient s'additionner sur le groupe NH3+ pour donner un groupe carbamide. Le composé subit une estérification intra-moléculaire pour former un lactame, la 5-méthylhydantoïne.
Notes et références
- (de) F. Urech, « Ueber Lacturaminsäure und Lactylharnstoff », Liebigs Ann. Chem., vol. 165, no 1, , p. 99–103 (ISSN 0075-4617, DOI 10.1002/jlac.18731650110).
- (en) E. Ware, « The Chemistry of the Hydantoins », Chem. Rev., vol. 46, no 3, , p. 403-470 (ISSN 0009-2665, DOI 10.1021/cr60145a001).
Cet article est issu de Wikipedia. Le texte est sous licence Creative Commons – Attribution – Partage à l’identique. Des conditions supplémentaires peuvent s’appliquer aux fichiers multimédias.