Algorithme minimax
L'algorithme minimax (aussi appelé algorithme MinMax) est un algorithme qui s'applique à la théorie des jeux[1] pour les jeux à deux joueurs à somme nulle (et à information complète) consistant à minimiser la perte maximum (c'est-à-dire dans le pire des cas). Pour une vaste famille de jeux, le théorème du minimax de von Neumann assure l'existence d'un tel algorithme[2], même si dans la pratique il n'est souvent guère aisé de le trouver. Le jeu de hex est un exemple où l'existence d'un tel algorithme est établie et montre que le premier joueur peut toujours gagner, sans pour autant que cette stratégie soit connue.
Il amène l'ordinateur à passer en revue toutes les possibilités pour un nombre limité de coups et à leur assigner une valeur qui prend en compte les bénéfices pour le joueur et pour son adversaire. Le meilleur choix est alors celui qui minimise les pertes du joueur tout en supposant que l'adversaire cherche au contraire à les maximiser (le jeu est à somme nulle).
Il existe différents algorithmes basés sur MinMax permettant d'optimiser la recherche du meilleur coup en limitant le nombre de nœuds visités dans l'arbre de jeu, le plus connu est l'élagage alpha-bêta. En pratique, l'arbre est souvent trop vaste pour pouvoir être intégralement exploré (comme pour le jeu d'échecs ou de go). Seule une fraction de l'arbre est alors explorée.
Dans le cas d'arbres très vastes, une IA (système expert, évaluation par apprentissage à partir d'exemple, etc.) peut servir à élaguer certaines branches sur la base d'une estimation de leur utilité. C'est ce qui est employé, par exemple, dans le cadre du go.
Principe
L'algorithme minimax visite l'arbre de jeu pour faire remonter à la racine une valeur (appelée « valeur du jeu ») qui est calculée récursivement de la façon suivante :
- minimax(p) = f(p) si p est une feuille de l’arbre où f est une fonction d’évaluation de la position du jeu ;
- minimax(p) = max(minimax(O1), …, minimax(On)) si p est un nœud Joueur avec fils O1, …, On ;
- minimax(p) = min(minimax(O1), …, minimax(On)) si p est un nœud Opposant avec fils O1, …, On.
Exemple

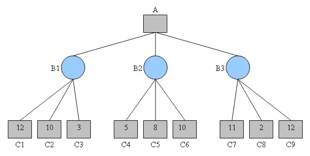
Dans le schéma ci-dessus, les nœuds gris représentent les nœuds joueurs et les bleus les nœuds opposants. Pour déterminer la valeur du nœud A, on choisit la valeur maximum de l’ensemble des nœuds B (A est un nœud joueur). Il faut donc déterminer les valeurs des nœuds B qui reçoivent chacun la valeur minimum stockée dans leurs fils (les nœuds B sont opposants). Les nœuds C sont des feuilles, leur valeur peut donc être calculée par la fonction d’évaluation.

Le nœud A prend donc la valeur 5. Le joueur doit donc jouer le coup l’amenant en B2. En observant l’arbre, on comprend bien que l’algorithme considère que l’opposant va jouer de manière optimale : il prend le minimum. Sans ce prédicat, on choisirait le nœud C1 qui propose le plus grand gain et le prochain coup sélectionné amènerait en B1. Mais alors on prend le risque que l’opposant joue C3 qui propose seulement un gain de 3.
En pratique, la valeur théorique de la position P ne pourra généralement pas être calculée. En conséquence, la fonction d’évaluation sera appliquée sur des positions non terminales. On considérera que plus la fonction d’évaluation est appliquée loin de la racine, meilleur est le résultat du calcul. C'est-à-dire qu’en examinant plus de coups successifs, nous supposons obtenir une meilleure approximation de la valeur théorique donc un meilleur choix de mouvement.
Simplification negamax
Si l’ensemble des valeurs prises par f(p) est symétrique par rapport à 0[1] une fonction g(p) peut être définie telle que :
- g(p) = f(p) si nous sommes sur un nœud joueur
- g(p) = –f(p) si nous sommes sur un nœud opposant
Ainsi on définit negamax à partir de cette nouvelle fonction :
- negamax(p) = g(p) si P est terminale
- negamax(p) = max(–NegaMax(pi)) sinon
À partir du même exemple que pour l’algorithme Minmax, voici l'arbre résultant :

Pseudocode
Le pseudocode de l'algorithme minimax de profondeur limitée est présenté ci-dessous :
function minimax(node, depth, maximizingPlayer) is
if depth = 0 or node is a terminal node then
return the heuristic value of node
if maximizingPlayer then
value := −∞
for each child of node do
value := max(value, minimax(child, depth − 1, FALSE))
else (* minimizing player *)
value := +∞
for each child of node do
value := min(value, minimax(child, depth − 1, TRUE))
return value
(* Initial call *) minimax(origin, depth, TRUE)
Applications
Minimax et théorie statistique de choix
Dans la théorie statistique de choix, nous avons un estimateur δ qui vise à trouver un paramètre θ ∈ Θ. Dans ce cadre, θ 'minimax' si :
Élagage alpha-bêta
Cet algorithme peut être optimisé grâce à l'implémentation de la technique dite de l'élagage alpha-bêta[1]. L'algorithme alpha bêta accélère la routine de recherche minimax en éliminant les cas qui ne seront pas utilisés. Cette méthode utilise le fait que tous les autres niveaux de l’arbre seront maximisés et que tous les autres niveaux seront minimisés.
Annexes
Notes
- Jean-Marc Alliot et Thomas Schiex, « La programmation des jeux », dans Intelligence artificielle et Informatique théorique, Cepadues, (ISBN 2-85428-324-4)
- Mais si les joueurs ne connaissent pas les coups joués par leur adversaire, comme dans le jeu pierre-feuille-ciseaux, cet algorithme ne conduit qu'à des stratégies demandant l'utilisation du hasard; voir l'article sur le théorème pour plus de détails
Bibliographie
Articles connexes
Liens externes
- Portail de l'informatique théorique
- Portail de la programmation informatique