Lactosérum

Le lactosérum, également appelé petit-lait[N 1] ou sérum (directement du latin serum : petit lait[1]), est la partie liquide résiduelle de la coagulation du lait. Le lactosérum est un liquide transparent à teinte jaune-verdâtre, composé d'environ 94 % d'eau, de sucre (le lactose), de protéines et de très peu de matières grasses (sa composition précise dépend de la technique fromagère utilisée) ; il conserve une valeur nutritive reconnue et il était traditionnellement utilisé soit dans l'alimentation humaine notamment par la fabrication des recuites (fromages de lactosérum), soit l'alimentation du bétail, notamment des porcs.

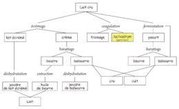
Place du lactosérum dans les produits issus du lait.

L'industrialisation de la production de fromage a fortement accru sa production, au delà des usages que cette industrie pouvait trouver à ce sous-produit, longtemps considéré comme encombrant et polluant. Mais de nouvelles techniques permettant maintenant d'en extraire des produits de valeur, comme les concentrés de protéines de lactosérum ou le lactose. Ceux-ci sont incorporés dans des transformations agroalimentaires.

La racine « sir » ou « ser » signifie « fromage » dans les langues slaves et baltes, apparentées au latin de par leur origine indo-européenne commune.

Obtention

Au début de la transformation du lait pour la fabrication du fromage, celui-ci est coagulé par ajout de présure ou par l'action acidifiante de bactéries lactiques ou par acidification chimique. Il en résulte une agrégation des micelles de caséine du lait, qui donne un gel (ou caillé ou coagulum). Un liquide aqueux, appelé « lactosérum », se sépare du caillé. Cette étape de caillage consiste en une séparation des protéines totales laitières en deux phases protéiques : la phase aqueuse contenant les protéines sériques ou hydrosolubles du lait (β-lactoglobuline, α-lactalbumine, sérum albumine, lactoferrine, caséinomacropeptide) et la phase solide dans laquelle a été retenue la caséine hydrophobe (caséine α, caséine β, para-κ-caséine).

L'industrie laitière génère de très grandes quantités de lactosérum chaque année. On obtient en effet environ neuf litres de lactosérum et un kilogramme de caillé à partir de dix litres de lait.

Composition

Le lactosérum est formé d'eau, de lactose, de protéines globulaires solubles et de sels minéraux. Deux grandes classes de lactosérums sont souvent distinguées en fonction du coagulant employé pour la fabrication du fromage dont il est le sous produit :

  • le lactosérum doux, obtenu par coagulation du lait avec de la présure. Elle donne un caillé mou, gélatineux et très imperméable.
  • le lactosérum acide, obtenu par coagulation du lait par acidification provoquée par le métabolisme des bactéries lactiques[2]. Elle donne un caillé cassant, ferme et perméable.

L'industrie fromagère actuelle offre de nombreuses solutions intermédiaires où le lait est ensemencé avec des levains naturels puis mélangé à de la présure. Le caractère présure domine par exemple dans le pont-l'évêque, le caractère lactique dans le brie de Melun, avec entre les deux le cas du camembert (en fabrication industrielle).

On distingue donc maintenant les lactosérums selon l'acidité du liquide obtenu[3],[4] :

  1. les lactosérums doux dont l'acidité varie entre 15 et 22 ° Dornic (pH ≈ 6,5), issus de la production de fromages à pâtes pressées et/ou cuites (emmental, saint-paulin, edam)
  2. les lactosérums acides atteignent une acidité de 120 ° Dornic (pH ≈ 4,5), issus de la production des fromages à pâtes fraîches et molles ou lors de la production de caséines.

Pour l'obtention de l'emmental, le lait est chauffé à 32 °C et ensemencé avec des ferments lactiques spécifiques. Puis il est coagulé avec 17 ml de présure pour 100 litres de lait, avec un apport éventuel de chlorure de calcium[5] et de ferments si le lait a subi une pasteurisation. Le caillé est coupé finement puis brassé vigoureusement afin de bien faire égoutter le lactosérum doux. En revanche, le lactosérum acide de caséinerie est obtenu par la précipitation de la caséine par l'acide chlorhydrique (ou sulfurique). On obtient aussi des lactosérums acides lors de la fabrication de fromages à pâte fraîche ou à pâte molle. Mais du fait de la diversité des techniques de fabrication fromagère, une forte hétérogénéité de la composition minérale peut être observée. En fait, Schuck et al.[3] observent que « à chaque type de fromage et à chaque étape de fabrication est associé un lactosérum ». Les lactosérums doux sont pauvres en calcium et phosphore contrairement aux lactosérums acides, tout en présentant une teneur un peu supérieure en lactose et protéine.

Composition d'un lactosérum doux et d'un lactosérum acide
(d'après Sottiez[4] 1990)
Lactosérum doux
(Emmental)
Lactosérum acide
(Caséine)
Liquide %93,594
Extrait sec %6,56,00
pH6,704,60
Composition en % sur la MS
Lactose76,0074,00
Protéines13,5012,00
Cendres8,0012,00
Acide lactique1,801,80
Matière grasse1,000,50
Matière minérale
Ca %0,601,80
P %0,601,50
NaCl2,507,50

Le lactosérum contient la plus grande partie de l'eau du lait. Il est constitué de 94 % d'eau, de 4 à 5 % de lactose, de protéines solubles (9 % de ms), et de sels minéraux. Le lactose est le seul sucre comestible d'origine animale[5]. C'est un diholoside constitué d'un D-galactose uni à un D-glucose par une liaison osidique 1-4.

Les protéines du lactosérum possèdent un véritable intérêt nutritionnel en raison de leur composition élevée en acides aminés essentiels. Les plus importantes[6] sont la bêta-lactoglobuline (β-LG), l'alpha-lactalbumine (α-LA), le glycomacropeptide (GMP), les immunoglobulines bovines (IgG), l'albumine sérique bovine (BSA) et la lactoferrine bovine (LF).

La β-lactoglobuline est la protéine la plus importante dans le lait de vache : elle est présente à hauteur de 2,5 à g par litre, ce qui correspond à 50 % des protéines lactosériques. Elle est absente dans le lait maternel. L'α-lactalbumine dont le taux moyen dans le lactosérum est de 1,3 g/l, fait partie intégrante de la lactose synthase à l'origine de la synthèse du lactose. Elle présente une forte analogie avec une protéine globulaire du blanc d’œuf, le lysozyme, sans en partager les propriétés bactéricides. L'albumine sérique bovine (ou sérum albumine) vient du plasma sanguin et la lactoferrine qui fixe deux atomes de fer par molécule, possède des propriétés bactériostatiques.

Le lactosérum contient aussi des vitamines (thiamine-B1, riboflavine-B2 et pyridoxine-B6) et des minéraux (calcium, phosphore et sodium).

Valorisation du lactosérum

De tous temps, dans les régions pauvres, les paysans le font rentrer dans l'alimentation humaine par l'élaboration de préparations laitières très anciennes et pauvres en matières grasses : recuite, ricotta, brocciu, sérac, brunost, etc. : les fromages de lactosérum

Industriellement, jusque dans les années 1970, le lactosérum sert majoritairement à l'alimentation du bétail. Les fromageries écoulent le maximum de leur lactosérum dans les porcheries voisines. Le rejet dans les cours d'eau est à l'origine de pollutions graves dues à la fermentation des matières organiques (en particulier les protéines qui sont décomposées dans le milieu naturel par des bactéries en formant du nitrate).

Les progrès de la technologie en industrie agroalimentaire permettent ces dernières décennies de résoudre les problèmes de valorisation d'un sous-produit qui contient la moitié de la matière sèche du lait, et en particulier des protéines de haute qualité pour l'homme, associées à un faible taux de matières grasses. Ces grandes quantités de protéines étaient auparavant gaspillées faute de techniques pour les rendre attrayantes et consommables. Les préparations anciennes et traditionnelles qui le valorisaient étaient délaissées car plaisant assez peu aux consommateurs. À cette fin, une série d'extractions sont réalisées[7] :

  1. éliminer l'eau, le principal constituant du lactosérum ;
  2. extraire le lactose ;
  3. enrichir et extraire les protéines sériques (lactoglobulines, albumines, lactoferrines, caséinomacropeptide) ;
  4. éliminer une partie des minéraux.

L'industrie du lactosérum se développe considérablement depuis les années 2000 et voit la progression de marchés qui se chiffrent en milliards d'euros, de poudre de lactosérum, de protéines de lactosérum, de fractions de protéines de lactosérum, sans parler du marché du lactose, du lactose pharmaceutique, des perméats[N 2] et des dérivés du lactose.

L’Union européenne, suivie par les États-Unis, est le principal producteur de lactosérum et de ses dérivés. La production française de poudre de lactosérum s'élève à 562 170 tonnes en 2009 suivant l'enquête de FranceAgriMer[8].

La poudre de lactosérum est obtenue par élimination partielle de l'eau puis par atomisation en tour de séchage[9]

Les protéines de lactosérum sont proposées sur le marché, soit sous forme d'isolats soit comme concentrés[10] :

  • isolats de protéines sériques (WPI, whey protein isolate[11], whey = lactosérum ) : ils sont obtenus par chromatographie sur résines échangeuses d'ions. Complètement débarrassés du lactose, ils ont une teneur en protéines d'environ 90 %. Ils sont plus riches en protéines que les concentrés et présentent des propriétés fonctionnelles différentes, en raison notamment de leur richesse en immunoglobulines ;
  • concentrés de protéines sériques (WPC, whey protein concentrate) : ils sont obtenus par une élimination plus ou moins importante des constituants non protéiques du lactosérum, de manière à obtenir une poudre contenant au minimum 25 % de protéines hydrosolubles. Ils se présentent généralement sous forme de poudres pouvant contenir entre 30 et 90 % de protéines sur matière sèche[12]. Leur production se fait grâce aux techniques de séparation physique comme la précipitation, la filtration ou la dialyse. Pour la précipitation des séroprotéines, le procédé par thermocoagulation consiste en un chauffage en milieu acide. Cette méthode ancienne, qui dénature en partie les protéines, est le plus souvent remplacée par un procédé membranaire, consistant à concentrer les protéines par ultrafiltration. Une membrane permet de retenir les protéines et les lipides du lactosérum et laisse passer les sels minéraux, le lactose et l'azote non protéique. Pour obtenir les protéines sériques seules, on délipide préalablement le lactosérum par microfiltration. On procède ensuite à une extraction sélective sur des résines de chromatographie par échanges d'ions.

Les ingénieurs parlent parfois de ces techniques en termes de « cracking du lactosérum ».

Les protéines de lactosérum sont un concentrât de plusieurs protéines sériques de lactosérum et sont composées[13] de la β-lactoglobuline (50 %), de l'α-lactalbumine (20 %), d'immunoglobulines (10 %), l'albumine de sérum bovin (10 %), la lactoferrine (2,8 %) et de traces du fragment hydrophile de la κ-caséine (caséinomacropeptide)[14]. En effet, lors de la première étape de la coagulation du lait cru, la κ-caséine est hydrolysée par l’ajout de la chymosine libérant un caséinomacropeptide et la para-κ-caséine. Le peptide sera relargué dans le lactosérum alors que la para-κ-caséine reste à la surface des micelles de caséines dans la phase solide (le caillé).

Le lactose peut être isolé des autres éléments du lactosérum par cristallisation ou ultrafiltration[6].

Utilisations industrielles

Dans l'Union européenne, de 2005 à 2010, on assiste au développement des ingrédients à forte valeur ajoutée que sont les isolats WPI et les concentrés WPC du lactosérum. La production classique de poudre de lactosérum est partiellement remplacé par les extraits plus élaborés issus du craquage du lactosérum (et du lait) dans les produits finis alimentaires ainsi qu'en alimentation animale[15]. Par contre, à l'exportation, les produits classiques, poudre de lactosérum (et de lait) sont en croissance.

Utilisations principales de la poudre de lactosérum et des WPC, en Europe (UE 27)
(volumes en tonnes, en 2010 - FranceAgrimer)[15]
Alimentation
animale
Fromage
frais
Produits
diététiques
GlacesSaucesBoulangerieLaits
infantiles
Concentré de protéines sériques
WPC en équ. prot.
60 00023 50020 0003 5002 0001 500
Poudre de lactosérum
et poudre modifiée
800 00044 0006 000234 000

L'industrie agro-alimentaire utilise les qualités nutritionnelles et techno-fonctionnelles des protéines sériques : solubilité sur toute l'échelle de pH, pouvoirs moussant, thermorégulation à partir de 70 °C, bonnes propriétés émulsifiantes, structurantes et de rétention de l'eau.

Les concentrés de protéines sériques (WPC) de bonnes qualités organoleptiques sont principalement utilisés dans l'alimentation animale, la fabrication des fromages frais, des produits diététiques, glaces, sauces et en boulangerie-viennoiserie-pâtisserie. Les concentrés de protéines sériques sont très recherchées en diététique en raison de leur très haute valeur nutritive. Les produits pour sportifs, seniors et pour le contrôle du poids à base de protéines sériques sont en constant développement dans l'Union européenne mais à un rythme plus modéré qu'aux États-Unis[15].

La poudre de lactosérum est surtout utilisée en alimentation animale (800 000 t en Union européenne), dans les laits infantiles (234 000 t), la chocolaterie (46 000 t), les glaces (44 000 t), en biscuiterie (19 500 t), pour les fromages industriels, en particulier les fromages fondus (14 000 t) et les sauces (6 000 t).

Dans les laits infantiles, elle sert à augmenter le taux de protéines sériques (moins élevé dans le lait de vache que dans le lait maternel). Il existe ainsi une forte demande asiatique et russe en poudre de lactosérum déminéralisé pour l'alimentation infantile.

La poudre de lactosérum est ajoutée comme additif dans la préparation du bœuf, des volailles, des saucisses et des soupes. Le lactosérum est aussi utilisé pour remplacer partiellement le lait dans la chocolaterie et la biscuiterie industrielle. La matière grasse du lactosérum (la « crème de sérum ») peut être utilisée pour la fabrication de fromage à pâte fondue.

Une enzyme servant de conservateur, la lactoperoxydase est extraite du lactoserum, c'est un conservateur naturel du lait.

Propriétés biologiques

Les protéines du lactosérum traversent plus rapidement l'estomac que les caséines. Dans l'estomac, la fraction soluble des protéines de lait est évacuée rapidement alors que les caséines précipitent au contact du pH acide du milieu en formant un réseau protéique dense[16]. Ainsi, les protéines de lactosérum qui sont rapidement vidangées de l'estomac, peuvent être considérées comme des protéines « rapides », entraînant une élévation rapide mais de courte durée de la teneur en acides aminés du plasma sanguin (ou hyperaminoacidémie) et une stimulation concomitante de la synthèse protéique[17]. Au contraire, les caséines qui sont absorbées progressivement, sont qualifiées de protéines « lentes ».

  • Stimulation immunitaire

Des essais préliminaires ont montré que l'isolat de lactosérum, à raison de 24 à 45 g par jour peut agir favorablement sur le système immunitaire défaillant de malades[18]. Chez la souris immunisée par des globules rouges de mouton, l'administration d'α-lactalbumine accroît la réponse immunitaire et se traduit par une augmentation du poids du thymus, du nombre de thymocytes et lymphocytes[6].

  • Musculation

L'arrivée des concentrés de protéines de lactosérum (parfois appelés whey, nom anglais du lactosérum) a été une révolution dans le monde du conditionnement physique et de la musculation. Leur haute teneur en protéines et leur faible teneur en graisses et en calories en font un complément de choix avant et après l'entraînement physique. On prête aux protéines contenues dans le lactosérum un grand rôle dans la reconstruction des fibres musculaires qui ont subi des micro-déchirures lors de l'entraînement[19]. L'absorption d'environ 20 g de protéines durant, ou juste après, l'exercice est suffisant pour maximiser la synthèse post-entraînement des protéines musculaires. La stimulation de l'anabolisme musculaire semble plus marquée en situation de récupération après un exercice musculaire intense et après ingestion d'acides aminés indispensables[17] (notamment de leucine).

  • Lactose

À cause des problèmes d'intolérance de certaines personnes au lactose, ou de leur difficulté à le digérer, beaucoup de fabricants de compléments protéinés à utilisation sportive produisent des poudres de lactosérum sans lactose.

Notes et références

Notes

  1. Attention : l’appellation « petit-lait » est parfois utilisée à tort pour désigner le babeurre.
  2. Liquide qui a traversé la membrane d'un processus de séparation chimique, comme l'ultrafiltration.

Références

  1. « Serum • Dictionnaire Gaffiot latin-français », sur lexilogos.com (consulté le ).
  2. C.M. Bourgeois et J.P. Larpent, Microbiologie alimentaire, Aliments fermentés et fermentations alimentaires, t. 2, TEC & DOC, , 524 p., chap. III, 2 (« Les fromages à pâtes fraiches, molle, pressée ou persillée, J.P. Larpent ») ou acidification chimique
  3. Pierre Schuck, « Séchage des lactosérums et dérivés : rôle du lactose et de la dynamique de l'eau », Le Lait, vol. 84, no 3, , p. 243-268 (ISSN 0023-7302, lire en ligne)
  4. François Luquet (coord.), Lait et produits laitiers : vache, brebis, chèvre, t. 2, Lavoisier, Tec & Doc, , 637 p. (ISBN 978-2-85206-587-1), « Produits dérivés des fabrications fromagères (par Sottiez) »
  5. Jean Froc, Balade au pays des fromages, Les traditions fromagères en France, Quae, , 239 p.
  6. Pierre Jouan, Lactoprotéines et lactopeptides : propriétés biologiques, INRA-Quae éditions, , 128 p.
  7. Werner J Bauer et Badoud, Science et technologie des aliments : principes de chimie des constituants et de technologie des procédés, Lausanne, Presses polytechniques et universitaires romandes, , 720 p. (ISBN 978-2-88074-754-1 et 2880747546, lire en ligne).
  8. FranceAgriMer [PDF].
  9. Valérie Jacquet Violleau, Déminéralisation par électrodialyse en présence d'un complexant; application au lactosérum, thèse, Institut national polytechnique de Toulouse, .
  10. Jean-Jacques SNAPPE, Anne LEPOUDERE, Natacha SREDZINSKI, Protéines laitières, Edition T1, .
  11. « Whey Archives », sur OPINION-SPORTIF, (consulté le )
  12. Raphaël Badoud, Jürg Löliger et Alain Etournaud, Science et technologie des aliments : Principes de chimie des constituants et de technologie des procédés, PPUR, .
  13. P. Cayot, Structures et technofonctions des protéines du lait, TEC & DOC Lavoisier, .
  14. « Valorisation du lactosérum », sur ensaia.univ-lorraine.fr, .
  15. FranceAgrimer
  16. S Mahé, « Nitrogen movements in the upper jejunum lumen in humans fed low amounts of casein or beta-lactoglobulin », Gastroentérologie clinique et biologique, vol. 19, no 1, , p. 20-26 (ISSN 0399-8320)
  17. Magali Lacroix, Variations qualitatives et quantitatives de l'apport en protéines laitières chez l'animal et l'homme : implcations métaboliques, thèse, AgroParisTech,
  18. Y F Moreno, « Features of whey protein concentrate supplementation in children with rapidly progressive HIV infection », Journal of tropical pediatrics, vol. 52, no 1, , p. 34-38 (ISSN 0142-6338, DOI 10.1093/tropej/fmi074)
  19. L.M. Burke et R.J. Maughan (ed.) (édition) (en collaboration avec Luc J.C. van Loon et Martin J. Gibala), Nestlé Nutrition Institute Workshop Series, vol. 69, Bâle, KARGER, (ISBN 978-3-8055-9698-5 et 978-3-8055-9697-8, lire en ligne), « Dietary Protein to Support Muscle Hypertrophy », p. 79-95.

Articles connexes

  • icône décorative Portail du fromage
  • icône décorative Portail de la musculation
Cet article est issu de Wikipedia. Le texte est sous licence Creative Commons – Attribution – Partage à l’identique. Des conditions supplémentaires peuvent s’appliquer aux fichiers multimédias.