Thymidine diphosphate
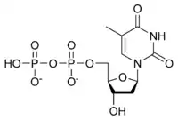
La thymidine diphosphate (TDP), parfois appelée désoxythymidine diphosphate (dTDP), est un désoxynucléotide constitué de pyrophosphate et de thymidine, nucléoside lui-même constitué de thymine et de désoxyribose.
| Thymidine diphosphate | |
![]() Structure de la thymidine diphosphate |
|
| Identification | |
|---|---|
| Nom UICPA | [(2R,3S,5R)-3-hydroxy-5-(5-méthyl-2,4-dioxopyrimidin-1-yl)oxolan-2-yl]méthylphosphonohydrogène phosphate |
| Synonymes |
dTDP |
| No CAS | |
| PubChem | 164628 |
| ChEBI | 18075 |
| SMILES | |
| InChI | |
| Propriétés chimiques | |
| Formule | C10H16N2O11P2 [Isomères] |
| Masse molaire[1] | 402,188 4 ± 0,012 8 g/mol C 29,86 %, H 4,01 %, N 6,97 %, O 43,76 %, P 15,4 %, |
| Unités du SI et CNTP, sauf indication contraire. | |
Notes et références
- Masse molaire calculée d’après « Atomic weights of the elements 2007 », sur www.chem.qmul.ac.uk.
- Portail de la chimie
- Portail de la biochimie
Cet article est issu de Wikipedia. Le texte est sous licence Creative Commons – Attribution – Partage à l’identique. Des conditions supplémentaires peuvent s’appliquer aux fichiers multimédias.
