Synthèse d'Auwers
La synthèse d'Auwers est une suite de réactions chimiques aboutissant à un flavonol à partir d'une coumarine. Cette synthèse fut décrite pour la première fois par Karl von Auwers en 1908[1],[2],[3],[4],[5].
Mécanisme

The Auwers synthesis
La première étape de la synthèse est une crotonisation (condensation aldolique) en milieu acide du benzaldéhyde et de la 3-oxypentanone en o-hydroxychalcone. Au produit obtenu est ajouté du dibrome afin de faire une double bromation de la double liaison alcène, le composé dibromé se réarrangeant ensuite en flavonol par réaction avec l'hydroxyde de potassium.
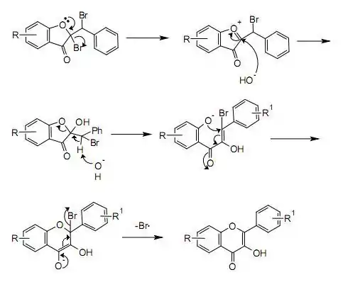
Réarrangement final
Le réarrangement final se produirait selon le schéma ci-contre :

Mécanisme du réarrangement final
Notes et références
- K. Auwers, K. Müller, "Umwandlung von Benzal-cumaranonen in Flavonole", Ber. Dtsch. Chem. Ges., 41, 4233–4241 (1908) (DOI 10.1002/cber.190804103137).
- K. v. Auwers, P. Pohl, "Über die Umwandlung von Benzalcumaranonen in Flavonole", Liebigs Ann. Chem., 405, 243–294 (1914) (DOI 10.1002/jlac.19144050302).
- K. v. Auwers, P. Pohl, "Eine Synthese des Fisetins", Ber. Dtsch. Chem. Ges., 48, 85–90 (1915) (DOI 10.1002/cber.19150480114).
- K. v. Auwers, "Zur Bildung von Flavonolen aus Benzal-cumaranonen", Ber. Dtsch. Chem. Ges., 49, 809–819 (1916) (DOI 10.1002/cber.19160490188).
- K. v. Auwers, E. Auffenberg, "Über Cumaranone und Hydrindone", Ber. Dtsch. Chem. Ges., 52, 92-113 (1919) (DOI 10.1002/cber.19190520114).
- (en) Cet article est partiellement ou en totalité issu de l’article de Wikipédia en anglais intitulé « Auwers synthesis » (voir la liste des auteurs).
Cet article est issu de Wikipedia. Le texte est sous licence Creative Commons – Attribution – Partage à l’identique. Des conditions supplémentaires peuvent s’appliquer aux fichiers multimédias.