Saga de Hrafnkell
La saga de Hrafnkell ou Saga de Hrafnkell Godi-de-Freyr (Hrafnkels saga Freysgoða en islandais, abrégé en Hrafnkatla) est une des plus célèbres sagas islandaises. Probablement écrite à la fin du XIIIe siècle, elle fait partie de la catégorie appelée Sagas des Islandais (ou Sagas des familles), qui racontent les faits marquants des premiers colonisateurs de l'Islande et de leurs descendants au Xe siècle. Par son style et sa construction elle est un des chefs-d'œuvre du genre, et elle a joué un rôle central dans les études et les débats sur l’origine des sagas islandaises.

Elle retrace l’affrontement de chefs de clans dans l’est de l’île. Le héros éponyme de l’œuvre, Hrafnkell, se taille une solide réputation de duelliste et voue une adoration toute particulière au dieu Freyr. Une succession de défaites et d’humiliations, ainsi que la destruction de son temple vont toutefois lui faire perdre la foi et l’orienter vers l’athéisme. Sa personnalité s’en trouve modifiée, et le héros apprend à interagir de manière pacifique avec autrui. Ayant ainsi gagné progressivement la confiance de nouveaux compagnons, il parvient à prendre sa revanche sur ses ennemis, et finit sa vie en chef puissant et respecté.
Récit

L’histoire débute par le voyage d’un Norvégien, Hallfredhr (Hallfreðr), qui participe vers l’an 900 aux toutes premières vagues de colonisation de l’Islande. Il prend pied à l’est de l’île en compagnie de son fils, Hrafnkell, un jeune homme au courage prometteur. Hrafnkell a de l’ambition et décide très vite, en accord avec son père, de fonder son propre campement. Il choisit une vallée inhabitée pour y implanter sa ferme, et nomme l’endroit Adhalból (Aðalból, « Noble Foyer »). Cette vallée, dûment identifiée, sera plus tard rebaptisée Hrafnkelsdalr (« Vallée de Hrafnkell »).
Hrafnkell y fait par ailleurs ériger un grand temple, où il réalise de fastueuses cérémonies sacrificielles. Les meilleures têtes de son bétail sont ainsi offertes à Freyr, le dieu qu’il vénère plus que tout autre. Il place également sous la protection de cette divinité son cheval islandais préféré, Freyfaxi, et jure qu’il mettra à mort quiconque le chevauchera sans sa permission. Ces manifestations de ferveur religieuse lui font gagner le surnom de Freysgodhi (Freysgoði, « Prêtre de Freyr »).
Hrafnkell nourrit une grande soif de pouvoir, et s’impose comme chef de clan en tyrannisant les habitants des vallées environnantes. Il est prompt à se battre en duel, et ne paie jamais le prix du sang (le wergild) après avoir tué quelqu’un.
La saga se penche ensuite sur Einarr, l’un des bergers de Hrafnkell. Une affaire urgente l’oblige un jour à monter à cheval, mais toutes les bêtes s’enfuient à son approche à l’exception de Freyfaxi. C’est donc sur le dos de ce dernier qu’il part pour la journée. Par la suite, le cheval retourne de lui-même à Adhalból et se met à hennir : Hrafnkell, voyant son animal sale et en sueur, réalise ce qui s’est passé. Il sort alors avec sa hache et tue Einarr à contre-cœur, afin de respecter son serment.

Le père d’Einarr, Thorbjörn (Þorbjörn), est bouleversé par la mort de son fils et va trouver Hrafnkell pour réclamer le prix du sang. Ce dernier lui réplique qu’il ne paie le wergild pour aucun homme. Il admet néanmoins que ce meurtre est parmi les plus atroces qu’il ait commis, et se dit prêt à faire amende honorable. Il propose alors à Thorbjörn de le loger et le soigner pour le restant de ses jours. Thorbjörn, toutefois, répugne à cet acte de soumission et exige au minimum un accord formel entre personnes de rang égal. Face au refus de Hrafnkell, Thorbjörn ne perd pas patience et cherche une manière de parvenir à s’entendre.
Les lois de la communauté islandaise, en effet, garantissaient à chaque homme libre les mêmes droits. Mais du fait de l’absence d’une autorité exécutive centrale, un homme ordinaire pouvait rencontrer des difficultés face à un chef de clan. Il devait alors rechercher le soutien d’un autre chef, à la fois pour l’aider dans les démarches légales déjà complexes à l’époque et pour faire appliquer ensuite le verdict en cas de succès à l’assemblée.
Thorbjörn sollicite l’aide de son frère Bjarni, qui refuse de s’engager dans une dispute avec le puissant Hrafnkell. Il tente ensuite sa chance auprès de Sámr, le fils de Bjarni. Ce dernier, à son tour, lui conseille plutôt d’accepter l’offre de Hrafnkell, sans parvenir à infléchir la détermination du vieil homme. Sámr, qui n’avait au départ aucune intention de se mêler au conflit, se sent finalement contraint d’accepter face à l’insistance de son oncle. Le jeune homme accepte formellement de prendre en charge le cas de Thorbjörn dans le procès qui s’annonce, et devient donc le plaignant.

Sámr prépare son accusation contre Hrafnkell et le convoque à l’Alþing pour l’été suivant, ce qui ne manque pas de faire rire le puissant chef. Lorsque Sámr et Thorbjörn arrivent à Þingvellir où se tient l’assemblée, ils découvrent rapidement qu’aucun grand chef de clan ne souhaite leur offrir son aide. Thorbjörn est cette fois proche de vouloir abandonner, mais Sámr insiste pour que l’affaire soit menée à son terme d’une manière ou d’une autre.
Sámr et Thorbjörn tombent alors par hasard sur Thorkell (Þorkell), un jeune aventurier originaire du Vestfirdhir (Vestfirðir, « Fjords de l’ouest »). L’homme sympathise avec leur cause et les aide à obtenir le soutien de son frère Thorgeirr (Þorgeirr), un puissant chef. Grâce à cet appui, Sámr peut engager le procès et y démontrer toute sa compétence. Hrafnkell est reconnu coupable, et en vertu de ce jugement, Sámr a le droit de tuer Hrafnkell et de confisquer ses biens et ses terres. Le jeune homme, accompagné de Thorgeirr et Thorkell, arrive à Adhalból très tôt un matin, surprend Hrafnkell dans son sommeil et parvient à le capturer.
On laisse deux possibilités à Hrafnkell : soit il est exécuté sur-le-champ, soit il deviendra le subordonné de Sámr, dépouillé de son honneur et de ses biens. Hrafnkell, malgré ce qu’il en coûte, choisit de vivre. Thorkell prédit alors à Sámr qu’il regrettera d’avoir épargné son ennemi[1].

Sámr prend officiellement possession d’Adhalból et invite les habitants locaux à une grande fête, au cours de laquelle ils reconnaissent le jeune homme comme leur nouveau chef. Hrafnkell, quant à lui, part se construire une nouvelle demeure dans une autre vallée. Son ambition restée intacte et son moral d’acier lui permettent, après quelques années de dur labeur, de devenir un respectable fermier.
Thorkell et Thorgeirr, dont la soif de vengeance n’est pas encore assouvie, décident de « rendre Freyfaxi à son propriétaire » et jettent le cheval du haut d’une falaise. Ils mettent également le feu au temple de Hrafnkell. Ayant appris tout cela, Hrafnkell en conclut que « c’est une folie de croire aux dieux », et ne réalise dès lors plus aucun sacrifice. Son comportement devient plus civilisé, et l’ancien chef tyrannique se fait beaucoup plus agréable avec ses serviteurs. Il acquiert ainsi de la popularité et s’attire la loyauté de son entourage[2].
Après six années de paix, Hrafnkell estime que l’heure de sa revanche a sonné. Il découvre que le frère de Sámr, Eyvindr, effectue un voyage à proximité avec quelques compagnons. Hrafnkell rassemble ses propres hommes et se lance à l’attaque. Sámr, sitôt qu’il apprend l’embuscade, se rue à l’aide de son frère avec quelques hommes, mais arrive trop tard.

Le matin suivant, Hrafnkell surprend Sámr dans son sommeil et lui offre le même choix que celui qu’il avait reçu de lui six ans auparavant. Tout comme son ennemi autrefois, Sámr préfère vivre : Hrafnkell se réinstalle à Adhalból, son ancienne résidence, et reprend ses fonctions de chef de clan.
Sámr part pour l’ouest chercher à nouveau le soutien de Thorkell et Thorgeirr, mais ces derniers lui répliquent qu’il est le seul à blâmer pour son propre malheur : il aurait dû tuer Hrafnkell tant qu’il en avait l’occasion. C’est pourquoi ils refusent d’appuyer Sámr dans une nouvelle lutte contre son rival. Ils lui offrent, en compensation, de rester vivre à leurs côtés. Sámr décline l’invitation et repart auprès de Hrafnkell, qu’il servira jusqu’à la fin de sa vie sans pouvoir se venger.
Hrafnkell, quant à lui, reste un chef respecté jusqu’à ce qu’il meure en paix, entouré des siens. Ses fils deviennent chefs de clans à sa suite[3].
De l'écrivain original au lecteur moderne
Manuscrits

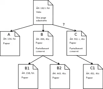
Le plus vieux manuscrit subsistant de la saga est un vélin du XVe siècle, dont il ne reste qu'une seule de ses pages. On a par contre des copies XVIIe siècle sur papier. L’une des familles de manuscrits en papier (C et C1 dans le schéma ci-contre), contient une version sensiblement différente de la saga, avec plusieurs additions mineures[réf. souhaitée]. La plupart des chercheurs relient ces ouvrages au même texte original sur vélin, mais pensent que les ajouts sont l’œuvre de l’auteur de la saga de Fljótsdæla. Une attention plus soutenue est donc portée aux versions plus courtes de l’histoire de Hrafnkell par rapport aux versions plus longues, jugées apocryphes[réf. souhaitée].
Auteur
Comme la plupart des sagas, le texte est anonyme. Elle est généralement datée du dernier quart du XIIIe siècle, avec pour terminus a quo la mort de Sturla Thodarson en 1284 qui ne la cite pas dans le Sturlubok (sa version du landnamabok), où il recense les sagas connus à l'époque[4]. Hermann Pálsson a proposé comme auteur Brandr Jónsson, évêque de Hólar de 1263 à 1264[5].
Les différentes éditions
P. G. Thorsen et Konrádh Gíslason (Konráð Gíslason) éditèrent la saga pour la première fois en 1839, à Copenhague. D’autres éditions savantes suivirent, notamment celle de J. Jakobsen en 1902-1903 et celle de Jón Jóhannesson en 1950.
La saga de Hrafnkell a en outre connu de nombreuses éditions populaires, ainsi que des traductions dans des langues très variées. L’édition publiée par Halldór Laxness en 1942 était particulièrement audacieuse en ce sens que pour la première fois, l’orthographe de l’islandais moderne était appliqué à un texte en vieux norrois. Plusieurs détracteurs y virent une perversion du texte original. Les partisans de ce choix, au contraire, ont fait valoir que l’orthographe du vieux norrois était elle-même une construction artificielle, pas plus proche des anciens manuscrits que l’orthographe moderne, tout en étant nettement plus pénible pour le lecteur. Cette thèse l’a depuis largement emporté, et les éditions actuelles des sagas ont le plus souvent recours aux conventions typographiques modernes.
L'accueil par le lecteur moderne
Aujourd’hui, la saga de Hrafnkell reste l’une des sagas islandaises les plus lues au monde. Les lecteurs apprécient notamment son intrigue logique et cohérente, laquelle fait de cette courte saga une première lecture idéale pour qui veut découvrir ce genre littéraire si particulier. Le texte est étudié en profondeur dans les lycées islandais, et constitue aussi un bon texte d’introduction pour les étudiants en vieux norrois. Sigurdhur Nordal (Sigurður Nordal) a été jusqu’à y voir « l’un des romans courts les plus parfaits de la littérature mondiale ».
Origines
Le fait que la saga de Hrafnkell soit aussi accessible en a précisément fait un objet d’étude privilégié pour découvrir l’origine exacte des sagas islandaises.
Histoire
Les commentateurs ont longtemps considéré les sagas comme de fidèles comptes-rendus d’événements historiques, lesquels auraient été transmis oralement pendant plusieurs centaines d’années avant d’être couchés sur le papier par des copistes soucieux de la véracité des faits. Les chercheurs du XIXe siècle, en particulier, furent séduits par cette théorie. L’idée fut néanmoins abandonnée par les milieux universitaires vers 1940, et seuls quelques amateurs enthousiastes la soutiennent encore.
Beaucoup continuent à voir en la saga de Hrafnkell un exemple typique d’histoire orale préservée avec exactitude. La vraisemblance du récit, le réalisme des protagonistes et de leurs réactions plaident en faveur de cette hypothèse, de même que l’absence d’éléments surnaturels. Par ailleurs, la brièveté du texte rend vraisemblable que son contenu ait pu être transmis par voie orale de manière cohérente sur une longue période chronologique : le lecteur moderne lui-même, après deux ou trois lectures, serait capable de raconter l’histoire avec précision.
Mais cette interprétation historique rencontre un certain nombre de difficultés. Lorsque l’on compare la saga avec d’autres sources de la même époque, notamment le Landnámabók, plusieurs incohérences apparaissent immédiatement. Pour ne citer qu’un exemple, le Landnámabók nous apprend que Hrafnkell avait un père du nom de Hrafn, alors que la saga l’appelle Hallfreðr. La façon dont la saga présente les lois de l’époque et la manière de les appliquer, de même, entre souvent en contradiction avec d’autres sources plus fiables.
Littérature

Les incohérences historiques de la saga, ainsi que d’autres éléments, ont conduit Sigurdur Nordal (Sigurður Nordal) à formuler une théorie novatrice dans un livre intitulé Hrafnkatla, publié en 1940. L’ouvrage se nourrit des critiques précédemment formulées et rassemble des informations glanées à travers l’Islande pour infirmer définitivement la thèse de la véracité historique.
Au-delà des divergences relevées avec le Landnámabók et la réalité juridique de cette époque, Sigurdhur ajoute que la saga traite également les données géographiques de manière incorrecte. Les vallées dans lesquelles se déroulent les péripéties du récit, notamment, n’auraient pas pu accueillir une population aussi importante que semble l’impliquer le texte. Quant à la falaise située près d’Adhalból (Aðalból) et où le cheval Freyfaxi aurait trouvé la mort, l’auteur constate qu’elle n’existe tout simplement pas.
À rebours des anciennes théories, Sigurdhur voit dans la vraisemblance et la cohérence de la saga un indice laissant penser qu’un seul et talentueux auteur en serait à l’origine. Selon le chercheur, l’auteur se souciait peu de l’exactitude historique : s’il peut certes avoir consulté quelques documents anciens, il a probablement adapté leur contenu de manière à le faire concorder avec l’intrigue de son récit : « On a longtemps tenu la Saga de Hrafnkell Godi-de Freyr pour un modèle de vérité historique, en raison de son apparente objectivité, de la sécheresse de la narration et de son allure de reportage rapide, comme si le scribe s'était contenté de consigner au plus près une vieille histoire transmise oralement. Nordal a montré, semble-t-il irréfutablement, qu'à partir d'un personnage historique et, peut-être, de quelques évènements authentiques, l'auteur a composé un récit parfaitement maïtrisé, mais artificiel. Son but était double : il entendait démontrer, dans un premier temps, que l'excès mène à la perte, puis que la volonté triomphe de tout. On ne peut évidemment parler dans ces conditions, de tradition orale contraignante et de scrupuleuse vérité historique »[6].
Folklore
Une autre école de pensée concernant l’origine des sagas est apparue dans la seconde moitié du XXe siècle : elle s’attache à souligner les éléments de folklore présents dans ces textes et à mettre en évidence la survivance de légendes très anciennes.
Ce courant, en certains points, se rapproche de la vieille idée relative à la préservation orale des sagas, mais sans nécessairement se focaliser sur la question de la véracité historique. Les universitaires utilisent les méthodes de la recherche moderne pour déterminer, dans une histoire, les éléments susceptibles de persister au fil du temps, à l’opposé de ceux n’étant qu’éphémères. L’expérience semble suggérer que l’intrigue centrale des sagas peut se conserver par transmission orale sans difficulté sur le long terme, tandis que des détails plus anecdotiques comme le nom des personnages secondaires peuvent évoluer au cours des siècles.
Le chercheur islandais Óskar Halldórsson a écrit une brève étude sur la saga de Hrafnkell, dans laquelle il critique les travaux de Sigurður Nordal. Selon Halldórsson, des inexactitudes telles que l’erreur sur le nom du père du héros ne prouvent en rien que la saga ne soit qu’une fiction entièrement inventée au XIIIe siècle. On peut au contraire y voir la confirmation que l’histoire de Hrafnkell a pu se préserver oralement sur une longue période en ne subissant que des altérations secondaires, bien après la rédaction du Landnámabók.
Óskar Halldórsson établit par ailleurs un lien entre l’épisode de Freyfaxi et la vénération des chevaux, tradition largement répandue chez tous les peuples indo-européens. La présence de ce type de thèmes mythiques ou folkloriques, selon lui, indique que de nombreux éléments de la saga de Hrafnkell proviennent en réalité de l’époque pré-chrétienne.
Analyses récentes
Le débat relatif à la saga de Hrafnkell reste ouvert. Dans un livre publié en 1988, Hermann Pálsson réfute à nouveau complètement la thèse de la transmission orale, et cherche à lier l’œuvre aux grands courants d’idées de l’Europe médiévale. Contrairement aux études précédentes, cet examen a été réalisé à partir de la version longue de la saga. (voir ci-dessus)
Jón Hnefill Adhalsteinsson (Jón Hnefill Aðalsteinsson), dans son étude réalisée en 2000, souligne l’omniprésence des thèmes païens dans le texte. Tout en admettant qu’une grande partie de l’histoire puisse avoir été inventée au XIIIe siècle, le chercheur a mis en évidence plusieurs éléments semblant relever de la tradition orale, comme les rites sacrificiels accomplis par Hrafnkell ou la personnalité de Freyfaxi.
Jónas Kristjánsson, dans un passage de son ouvrage général de 1988 sur les sagas, a efficacement réconcilié les différentes thèses en présence au sujet de la saga de Hrafnkell : l’intérêt principal de cette dernière, rappelle-t-il, réside en ce qu’ « elle a suscité de la curiosité pour d’autres textes. Elle est devenue un cas d’école, un exemple classique dans les discussions sur la relation entre la tradition orale rudimentaire et les copistes cultivés, entre le traditionnel pragmatisme des attitudes et la nouvelle éthique chrétienne ».
Notes et références
- C’est bien Þorkell qui fait cette remarque dans tous les manuscrits. Néanmoins quelques éditeurs ont corrigé et ont attribué la phrase à Þorgeirr, à la suite d'une remarque de Sigurður Nordal.
- Le récit fait par le présent article suit l’ordre des événements dans la saga. Quelques commentateurs ont trouvé illogique que le texte ne décrive pas la mort de Freyfaxi et la réaction de Hrafnkell immédiatement après l’humiliation subie par ce dernier à Aðalból. Sigurður Nordal y voyait une faiblesse, mais Óskar Halldórsson a défendu cet état de fait, au motif que cela rend plus logique l’évolution de la personnalité du héros.
- Les exploits des descendants de Hrafnkell sont évoqués dans une suite de moindre qualité, la saga de Fljótsdæla.
- Boyer 1987, p. 1874
- Boyer 1987, p. 1873
- Boyer 1987, p. XXVI
Annexes
Traductions françaises
- Saga de Hrafnkell prêtre de Thor, adaptation par Jules Leclerq, Revue Britannique, (en ligne sur remacle.org)
- Pierre Halleux, Aspects littéraires de la Saga de Hrafnkell - Étude accompagnée du texte islandais (édition de Jón Helgason) et d'une traduction française, Les Belles Lettres, Paris, 1963
- Trois sagas islandaises du XIIe siècle et un Þáttr, traduit de l'islandais, présenté et annoté par Régis Boyer, Éditions SEVPEN, « École Pratique des hautes études. 6° section. Contribution n° 3 au Centre d'études arctiques et scandinaves », 1964
- Régis Boyer, Sagas islandaises, Gallimard, coll. « Bibliothèque de la Pléiade », , p. 1173-1202 avec notice et notes p. 1869-1887
Études
- Jonas Kristjansson, Les miniatures islandaises : sagas, histoire, art, La Renaissance du Livre, 2003 (ISBN 2-8046-0822-0).
- Kaaren Grimstad and Maria Bonner: Sá er svinnr er sik kann. Persuasion and Image in Hrafnkels saga. Arkiv för nordisk filologi 117, 2002:5-28.
- Maria Bonner and Kaaren Grimstad: Muni vit ekki at því sættask. A Closer Look at Dialogues in Hrafnkels saga. Arkiv för nordisk filologi 111, 1996:5-26.
- Hermann Pálsson Art and Ethics in Hrafnkel's Saga (1971)
- (is) Hermann Pálsson, Mannfræði Hrafnkels sögu og frumþættir, Bókaútgáfa Menningarsjóðs, Reykjavík, 1988 ;
- (is) Jón Hnefill Aðalsteinsson, Þá hneggjaði Freyfaxi, Háskólaútgáfan, Reykjavík, 2000 (ISBN 9979-54-431-7) ;
- (is) Jón Jóhannesson (éd.), Íslenzk fornrit XI - Austfirðinga sögur, Hið íslenzka fornritafélag, Reykjavík, 1950 ;
- (en) Jónas Kristjánsson (trad. Peter Foote), Eddas and Sagas. Iceland's Medieval Literature, Hið íslenska bókmenntafélag, Reykjavík, 1988 ;
- Óskar Halldórsson :
- (is) Uppruni og þema Hrafnkels sögu, Hið íslenska bókmenntafélag, Reykjavik, 1976 ;
- (en) « The origin and theme of Hrafnkels saga », in John Tucker (éd.), Sagas of the Icelanders : a book of essays, Garland, New York, 1989 (ISBN 0-8240-8387-3), p. 257-271 ;
- Sigurður Nordal :
- (is) Hrafnkatla, Sigurður Nordal, Reykjavik, 1944,
- (en) (trad. R. George Thomas), Hrafnkels saga Freysgoða : a study, University of Wales, Cardiff, 1958.
Liens externes
- (is) Texte intégral de la saga de Hrafnkell, en langue originale ,
- Les sagas et le droit - un essai de Sebastián Nowenstein ;
- (en) « Photographies des manuscrits »(Archive.org • Wikiwix • Archive.is • Google • Que faire ?) ;
- (en) Essai sur le héros de la saga de Hrafnkell ;
- (en) Essai sur les éléments mythiques dans la saga de Hrafnkell ;
- (en) Les proverbes dans la saga de Hrafnkell.
- Portail de la littérature norroise
- Portail de la littérature
- Portail de l’Islande
- Portail de la mythologie nordique