Réaction de Reimer-Tiemann
La réaction de Reimer-Tiemann est une réaction organique utilisée pour l'ortho-formylation de phénols[1],[2],[3],[4],[5],[6]. Cette réaction a été découverte par Karl Ludwig Reimer et Ferdinand Tiemann. Dans le cas le plus simple, cette réaction produit le salicylaldéhyde:

Réaction de Reimer-Tiemann
Mécanisme réactionnel
    

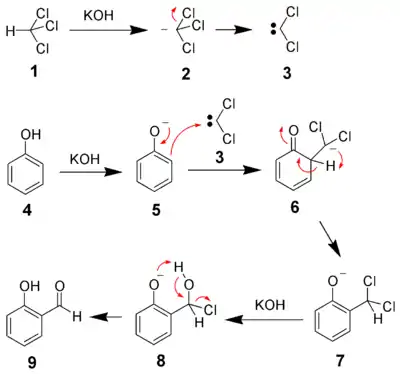
Mécanisme réactionnel de la réaction de Reimer-Tiemann
Le chloroforme (1) réagit avec l'hydroxyde de potassium, une base forte pour former un carbanion chloroforme (2), qui élimine rapidement un ion chlorure pour donner le dichlorocarbène (3). Le phénol (4) réagit avec l'hydroxyde de potassium pour former un phénolate (5). Le dichlorocarbène réagit alors avec la position ortho du phénolate pour former le phénol dichloromethylé (7). Après hydrolyse basique, on obtient le produit désiré (9).
Notes et références
    
- (de) K. Reimer et F. Tiemann, « Ueber die Einwirkung von Chloroform auf alkalische Phenolate », Ber. Dtsch. Chem. Ges., vol. 9, no 1, , p. 824–828 (ISSN 0365-9496, DOI 10.1002/cber.187600901247, lire en ligne).
- (de) K. Reimer et F. Tiemann, « Ueber die Einwirkung von Chloroform auf Phenole und besonders aromatische Oxysäuren in alkalischer Lösung », Ber. Dtsch. Chem. Ges., vol. 9, no 2, , p. 1268–1278 (ISSN 0365-9496, DOI 10.1002/cber.18760090270, lire en ligne).
- (de) K. Reimer et F. Tiemann, « Ueber die Einwirkung von Tetrachlorkohlenstoff auf Phenol in alkalischer Lösung (Bildung von Salicylsäure und Paroxybenzoesäure) », Ber. Dtsch. Chem. Ges., vol. 9, no 2, , p. 1285–1287 (ISSN 0365-9496, DOI 10.1002/cber.18760090272, lire en ligne).
- (en) H. Wynberg, « The Reimer-Tiemann Reaction », Chem. Rev., vol. 60, no 2, , p. 169-184 (ISSN 0009-2665, DOI 10.1021/cr60204a003).
- (en) H. Wynberg et E. W. Meijer, Organic Reactions, vol. 28, New York (NY), John Wiley & Sons, , 374 p. (ISBN 978-0-471-86141-6, DOI 10.1002/0471264180.or028.01), chap. 1 (« The Reimer-Tiemann Reaction »), p. 1-36.
- Wynberg, H. Comp. Org. Syn. 1991, 2, 769-775. (Review)
- (en) Cet article est partiellement ou en totalité issu de l’article de Wikipédia en anglais intitulé « Reimer–Tiemann reaction » (voir la liste des auteurs).
- Portail de la chimie
    Cet article est issu de Wikipedia. Le texte est sous licence Creative Commons – Attribution – Partage à l’identique. Des conditions supplémentaires peuvent s’appliquer aux fichiers multimédias.
