Réaction de Lehmstedt-Tănăsescu
La réaction de Lehmstedt-Tănăsescu ou synthèse d'acridone de Lehmsted–Tănăsescu est une méthode de synthèse organique de dérivés de l'acridone (3) à partir du 2-nitrobenzaldéhyde (1) et d'un hydrocarbure aromatique (2)[1],[2],[3],[4],[5] :

La réaction tire on nom du chimiste allemand Kurt Lehmstedt et du chimiste roumain Ion Tănăsescu qui ont consacré une part importante de leur carrière à la recherche de cette méthode de synthèse.
Mécanisme réactionnel
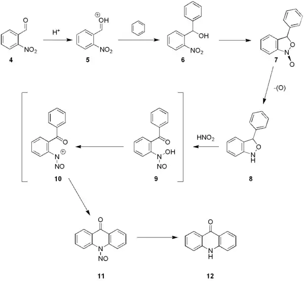
Dans la première étape, le précurseur 2-nitrobenzaldéhyde (4) est protoné, souvent par l'acide sulfurique, en intermédiaire (5) qui subit ensuite une attaque électrophile de la part du benzène (ou d'autre arènes), produisant un dérivé nitro du diphénylméthanol (6). Celui-ci subit une cyclisation interne formant un intermédiaire (7) et finalement un dérivé phénylé du 2,1-benzisoxazole (8). Ce composé est traité avec de l'acide nitreux (nitrite de sodium dans l'acide sulfurique) formant la N-nitroso acridone (11) après deux intermédiaires successifs (9 et 10). Le groupe N-nitroso est alors retiré par un acide dans l'étape finale.

La réaction de Lehmstedt-Tănăsescu est un exemple de synthèse monotope.
Notes et références
- (en) Cet article est partiellement ou en totalité issu de l’article de Wikipédia en anglais intitulé « Lehmstedt–Tanasescu reaction » (voir la liste des auteurs).
- S Yoshida. Design, Synthesis and Characterization of Novel Heterocyclic Polymers (Thesis, McGill University, Montreal (Canada))
- Ion Tănăsescu Bull Soc Chim Fr 41 (1927) p. 528
- Kurt Lehmstedt Chem. Ber. 65 (1932) DOI 10.1002/cber.19320650531 834
- Kurt Lehmstedt DE581328 (patent)
- I Silberg. Rev Roum Chim 10 (1965) 1035
- Portail de la chimie