Réaction d'annélation
Une réaction d'annélation (parfois annulation) est une réaction organique dans laquelle un nouveau cycle est constitué sur une molécule (qui est elle-même souvent cyclique), par création de deux nouvelles liaisons[1],[2].

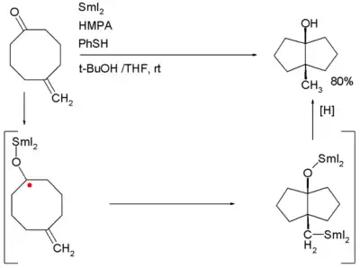
On compte parmi ces réactions l'annélation de Robinson, l'annélation de Danheiser et certaines cycloadditions. Dans les transannélations, un composé bicyclique est créé par formation d'une liaison carbone-carbone intramoléculaire à partir d'une molécule plus grande monocyclique. Un exemple de ce type est la cyclisation cétone - alcène induite par l'iodure de samarium(II) de la 5-méthylènecyclooctanone ayant lieu via un intermédiaire cétyle[3] :
Benzannélation
    
Le terme de « composé benzannélé » réfère aux composés cycliques (généralement aromatiques) issus de la fusion d'une molécule avec un cycle de benzène. La liste ci-dessous présente des exemples de composé benzannélés :
| Dérivé benzannélé | Composé cyclique initial | 
|---|---|
| Benzopyrène  | Pyrène  | 
| Quinoléine  | Pyridine  | 
| Isoquinoléine  | |
| Chromène  | Pyrane  | 
| Isochromène  | |
| Indole  | Pyrrole  | 
| Isoindole  | |
| Benzofurane  | Furane  | 
| Isobenzofurane  | |
| Benzimidazole  | Imidazole  | 
Interaction transannulaire
    
Une interaction transannulaire en chimie est une interaction (favorable ou défavorable) entre différents groupes moléculaires non-liants dans un large cycle ou un macrocycle[4]. Voir par exemple la molécule d'atrane.
Notes et références
    
- (en) « annulation », IUPAC, Compendium of Chemical Terminology [« Gold Book »], Oxford, Blackwell Scientific Publications, 1997, version corrigée en ligne : (2019-), 2e éd. (ISBN 0-9678550-9-8)
- (en) « annelation », IUPAC, Compendium of Chemical Terminology [« Gold Book »], Oxford, Blackwell Scientific Publications, 1997, version corrigée en ligne : (2019-), 2e éd. (ISBN 0-9678550-9-8)
- Construction of Bicyclic Ring Systems via a Transannular SmI2-Mediated Ketone-Olefin Cyclization StrategyGary A. Molander, Barbara Czakó, and Michael Rheam J. Org. Chem.; 2007; 72(5) pp 1755 - 1764; (Article) DOI 10.1021/jo062292d
- Experimental evidence in support of transannular interactions in diketones Kata Mlinaric-Majerski, Marijana Vinkovic, Danko Škare, Alan P. Marchand Arkivoc DS-339E 2002 Online Article
- (en) Cet article est partiellement ou en totalité issu de l’article de Wikipédia en anglais intitulé « Annulation » (voir la liste des auteurs).
- Portail de la chimie

