Psoralène
Le psoralène est un composé chimique naturel de la famille des furocoumarines. Sa structure est donc celle des coumarines à laquelle est fusionné un cycle de furane. C'est un dérivé de l'ombelliférone.
| Psoralène | |
| |
| Identification | |
|---|---|
| Nom UICPA | 7H-furo[3,2-g]chromèn-7-one ou 7H-furo[3,2-g]benzopyran-7-one |
| No CAS | |
| No ECHA | 100.000.581 |
| No CE | 200-639-7 |
| SMILES | |
| InChI | |
| Apparence | cristaux incolores |
| Propriétés chimiques | |
| Formule | C11H6O3 [Isomères] |
| Masse molaire[1] | 186,163 5 ± 0,010 1 g/mol C 70,97 %, H 3,25 %, O 25,78 %, |
| Propriétés physiques | |
| T° fusion | 163 à 164 °C[2] |
| Précautions | |
| Directive 67/548/EEC | |
![]() Xn |
|
| Écotoxicologie | |
| LogP | 1,67[2] |
| Unités du SI et CNTP, sauf indication contraire. | |
Le psoralène est naturellement présent dans les graines de Psoralea corylifolia (babchi), mais aussi dans le figuier commun, le céleri, la berce du Caucase, les arbustes du genre Zanthoxylum, plusieurs espèces de fabacées des genres (Otholobium, Psoralea et coronilla)[3] et en moins forte concentration dans les agrumes, l'aneth, le persil, le panais et les chrysanthèmes (Rutaceae et Apiaceae). Il est très utilisé en PUVA-thérapie (=psoralène+UVA) contre le psoriasis, l'eczéma, le vitiligo, et des lymphomes cutanés de lymphocytes T. Bien que sans danger mortel pour les mammifères, le psoralène doit être utilisé avec précaution car, comme de nombreuses furocoumarines, il est extrêmement toxique pour les poissons. Agent photosensibilisant, il peut toutefois être la cause de cancers de la peau.
Chimie

Un isomère du psoralène est l'angélicine.
Structure
La structure du psoralène, une coumarine fusionnée avec un cycle de furane, a originellement été déterminée par des réactions de dégradation ; ainsi, il réagit selon les mêmes réactions que le lactone des coumarines, comme l'ouverture du cycle par un alcali pour donner l'acide coumarinique ou un dérivé de l'acide coumarique, et le permanganate de potassium cause l'oxydation du cycle de furane, tandis que d'autres méthodes d'oxydation produisent l'acide furane-2,3-carboxylique.
Synthèse
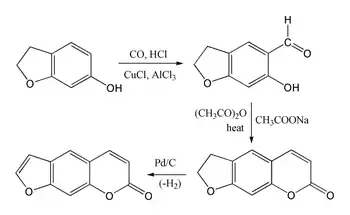
La synthèse du psoralène est difficile, car l'ombelliférone subit plus facilement une substitution électrophile aromatique en position 8 que sur la position 6 désirée. Le benzofurane lui réagit préférentiellement par le cycle de furane que par le cycle de benzène. Par contre, le 6-hydroxy-2,3-dihydrobenzofurane (6-hydroxycoumarane) peut subir une substitution permettant la synthèse du groupe coumarine par réaction de Gattermann-Koch, suivie d'une condensation de Perkin utilisant de l'anhydride acétique. La synthèse se termine par une déshydrogénation du cycle à 5 atomes pour donner le cycle de furane.

Biosynthèse

Le psoralène est produit à partir des coumarines, en particulier l'ombelliférone par la voie métabolique des furocoumarines linéaires. Cette biosynthèse fait suite à la voie des phénylpropanoïdes (ou du shikimate) produisant l'ombelliférone à partir de la phénylalanine et de la voie du mévalonate produisant le pyrophosphate de diméthylallyle (DMAPP). Ce dernier est d'abord activé, formant un carbocation par clivage du diphosphate. Une fois activé, l'enzyme ombelliférone 6-prényltransférase catalyse la C-alkylation entre le DMAPP et l'ombelliférone sur la position activée, en ortho du phénol, menant à la formation de la déméthylsubérosine. Cette réaction est suivie par une hydroxylation catalysée par l'enzyme marmésine synthase formant la marmésine, suivie d'une seconde hydroxylation avec départ d'acétone catalysée par la psoralène synthase formant le psoralène[4].
Utilisations
Le psoralène est un mutagène et est utilisé dans ce but dans la recherche en biologie moléculaire. Il s'intercale dans l'ADN, et, exposé aux ultraviolets (UVA), Il peut former des pontages interbrins covalents avec les thymines, préférentiellement sur les sites 5'-TpA dans le génome, provoquant des apoptoses. L'utilisation de psoralène, en addition avec une exposition aux UVA (PUVA-thérapie) a montré une efficacité clinique considérable[5]. Une des principales utilisations du psoralène est d'ailleurs la PUVA-thérapie pour traiter les problèmes de peau comme le psoriasis et, dans une moindre mesure, l'eczéma et le vitiligo. Elle tire avantage du haut niveau d'absorption des UV par le psoralène (comme les autres furocoumarines). Le psoralène est d'abord appliqué pour sensibiliser la peau, puis on expose la zone à des UVA pour « nettoyer » le problème de peau. Malheureusement, un effet secondaire de la PUVA-thérapie est un plus grand risque de développement de cancer de la peau[6].
Le psoralène est aussi utilisé pour traiter l'alopécie.
Malgré ses propriétés photocancérigènes[7],[8], le psoralène a été utilisé comme accélérateur de bronzage (en) dans des crèmes solaires jusqu'en 1996[9].
Notes et références
- Masse molaire calculée d’après « Atomic weights of the elements 2007 », sur www.chem.qmul.ac.uk.
- (en) « Psoralène », sur ChemIDplus, consulté le 30 juin 2010
- Frank Bisby, Phytochemical Dictionary of the Leguminosae, Chapman and Hall/CRC, (ISBN 978-1-000-71525-5, lire en ligne)
- (en) MetaCyc, Pathway: linear furanocoumarin biosynthesis
- Qi Wu, Laura A Christensen, Randy J Legerski et Karen M Vasquez (2005), Mismatch repair participates in error-free processing of DNA interstrand crosslinks in human cells. Article complet
- Momtaz K, Fitzpatrick TB (1998), The benefits and risks of long-term PUVA photochemotherapy. Dermatol. Clin. 16: 227−234 PubMed
- (en) M. J. Ashwood-Smith, G. A. Poulton, M. Barker, M. Mildenberger E, « 5-Methoxypsoralen, an ingredient in several suntan preparations, has lethal, mutagenic and clastogenic properties », Nature, vol. 285, no 5, , p. 407–409 (PMID 1546792, PMCID 1694089, DOI 10.1038/285407a0, lire en ligne)
- (en) Zajdela F., Bisagni E., « 5-Methoxypsoralen, the melanogenic additive in sun-tan preparations, is tumorigenic in mice exposed to 365 nm UV radiation. », Carcinogenesis, vol. 1981, no 2, , p. 121–7 (DOI 10.1093/carcin/2.2.121, lire en ligne)
- (en) Autier P., Dore J.-F., Cesarini J.-P., « Should subjects who used psoralen suntan activators be screened for melanoma? », Annals of oncology, vol. 8, no 5, , p. 435–437 (PMID 9233521, DOI 10.1023/A:1008205513771, lire en ligne)
- (en) Cet article est partiellement ou en totalité issu de l’article de Wikipédia en anglais intitulé « Psoralen » (voir la liste des auteurs).
Voir aussi
Bibliographie
- F. M. Dean, Naturally Occurring Oxygen Ring Compounds, Butterworths, London, 1963.
- The Merck Index, 7e éd., Merck & Co, Rahway, New Jersey, US, 1960.


