Oscillateur de Duffing
L'équation de Duffing (ou oscillateur de Duffing), du nom de Georg Duffing (en) (1861–1944), est une équation différentielle non linéaire du second ordre utilisée pour modéliser certains oscillateurs amortis et forcés. L'équation s'écrit

qui décrit le déplacement x = x(t) en fonction du temps t.
L'équation décrit le mouvement d'un oscillateur amorti avec un potentiel plus complexe qu'un mouvement harmonique simple (cas correspondant à β = δ = 0) ; un modèle physique serait un pendule pesant où la raideur du ressort ne suivrait pas la loi de Hooke.
L'équation de Duffing est un exemple de système dynamique simple pouvant présenter un comportement chaotique, comme l'oscillateur de Van der Pol. Plus encore, le système de Duffing présente en réponse fréquentielle le phénomène de résonance de saut qui se rapproche d'un comportement d'hystérésis en fréquence.
Paramètres
    
Les paramètres donnés dans l'équation caractérisent les différents effets :
- δ contrôle le taux d'amortissement,
- α contrôle la raideur linéaire,
- β contrôle le taux de non-linéarité dans la force restauratrice ; le cas β = 0 correspondant à un oscillateur harmonique amorti et forcé simple,
- γ est l'amplitude de la force conductrice périodique,
- ω est la fréquence angulaire de cette force.
L'équation de Duffing peut être vue comme décrivant les oscillations d'une masse attachée à un ressort non linéaire et un amortisseur linéaire. La force restauratrice fournie par le ressort s'écrit α x + β x3.
Pour α > 0 et β > 0, le ressort est dit raide ; si β < 0, on parle de ressort souple (toujours pour α > 0). Les mêmes qualificatifs sont alors appliqués à l'équation de Duffing, selon les valeurs de β (et α)[1].
Le nombre de paramètre dans l'équation de Duffing peut être réduit à 2 par changement d'échelle. Un exemple consiste à changer x et t en[2] τ = t √α et y = x α/γ en supposant α > 0 (d'autres changements de variables sont possibles, selon les valeurs des paramètres ou l'importance portée à certains termes). Dans ce cas[3]:
avec
L'équation ne dépend plus que de trois coefficients et des deux conditions initiales.
Méthodes de résolution
    
Il n'est pas possible de donner une solution exacte à l'équation de Duffing sous forme symbolique. Cependant, plusieurs méthodes d'approximation fonctionnent bien :
- un développement en série de Fourier permet d'avoir une description du mouvement pour un ordre de précision donné ;
- le terme x3, parfois appelé terme de Duffing, peut être approché aussi près que souhaité et le système est vu comme un oscillateur harmonique simple perturbé ;
- la méthode de Frobenius ;
- des méthodes de résolution numérique classique (méthode d'Euler, Runge-Kutta...) ;
- la méthode par homotopie est utilisée avec de bons résultats, même dans le cas de forte non-linéarité[4],[5].
Dans le cas spécial de l'équation sans amortissement (δ = 0) et sans forçage (γ = 0), on peut écrire la solution exacte avec les fonctions elliptiques de Jacobi[6].
Bornes de la solution pour l'oscillateur non forcé
    
    Oscillateur non amorti
    
En multipliant l'équation de Duffing non amorti et non forcé (γ = δ = 0), avec , on obtient[7] :
où H est une constante déterminée par les conditions initiales x(0) et
La substitution dans H montre que le système est hamiltonien :
Quand α et β sont positifs, la solution est bornée[7]:
avec le hamiltonien H positif.
Oscillateur amorti
    
De façon similaire, pour l'oscillateur amorti[8]
avec δ ≥ 0 pour l'amortissement. Sans forçage, l'oscillateur de Duffing amorti va tendre vers un de ses points d'équilibre stable. Ces points d'équilibre, stable ou non, correspondent aux cas où α x + β x3 = 0. Si α > 0 , le seul point d'équilibre stable est en x = 0 ; si α < 0 et β > 0 , l'équilibre stable peut être atteint en x = ± √–α/β.
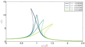
Réponse fréquentielle
    

L'oscillateur de Duffing forcé avec non-linéarité forcée est décrite par l'équation différentielle ordinaire :
La réponse fréquentielle de cet oscillateur décrit l'amplitude z d'une réponse en régime permanent de l'équation (x(t)) à une fréquence donnée pour une excitation ω. Pour un oscillateur linéaire avec β = 0, la réponse fréquentielle est également linéaire. Cependant, pour un terme de Duffing non nul, la réponse fréquentielle devient non linéaire. Selon le type de non-linéarité, l'oscillateur de Duffing peut montrer une réponse fréquentielle raide, souple ou mixte. Par la méthode d'analyse par homotopie ou d'équilibrage harmonique, on peut dériver une équation de la réponse fréquentielle de la forme[9],[5]:
Pour les paramètres de l'équation de Duffing, cette équation algébrique donne l'amplitude d'oscillation z en régime permanent à une excitation fréquentielle donnée.
Sauts
    

Pour certains ordres de valeurs des paramètres de l'équation de Duffing, la réponse fréquentielle peut ne plus une fonction à valeurs réelles de la fréquence de forçage ω. Pour un oscillateur à ressort raide (α > 0 et βc+ > 0 pris assez grand), la réponse fréquentielle penche vers les hautes fréquences, et vers les basses fréquences pour celui à ressort souple (α > 0 et β < βc– < 0 pris assez grand). Le côté surplombant est instable et la réponse correspondante ne peut être maintenue sur une longue durée. Par conséquent, le phénomène de saut apparait :
- quand la fréquence angulaire ω est augmentée lentement (avec les autres paramètres fixés), l'amplitude de réponse z chute violemment,
- si la fréquence angulaire ω est lentement réduite, l'amplitude fait un bond vers la branche haute de la réponse fréquentielle.
Les deux sauts ne correspondent pas, créant ainsi un hystérésis dans le système dépendant de l'évolution de la fréquence[9].
Exemples
    






Certains exemples typiques de séries temporelles et portraits de phase de l'équation de Duffing, montrant l'apparition de sous-harmoniques par des bifurcations à doublement de période – ou des comportements chaotiques. L'amplitude forcée augmente de γ = 0,2 à γ = 0,65. Les autres paramètres ont les valeurs α = –1, β = +1, δ = 0,3 et ω = 1,2. Les conditions initiales sont x(0) = 1 et Les points rouges dans les portraits de phase sont aux temps t pour un multiple entier de la période T = 2π/ω[9].
Références
    
- (en) Cet article est partiellement ou en totalité issu de l’article de Wikipédia en anglais intitulé « Duffing_equation » (voir la liste des auteurs).
- J.M.T. Thompson et H.B. Stewart, Nonlinear Dynamics and Chaos, John Wiley & Sons, , 460 p. (ISBN 978-0-471-87684-7, présentation en ligne), p. 66.
- R. Lifshitz et M.C. Cross, Reviews of Nonlinear Dynamics and Complexity, Wiley, , 8–9 p. (ISBN 978-3-527-40729-3, LCCN 2008459659, lire en ligne), « Nonlinear mechanics of nanomechanical and micromechanical resonators ».
- M.J. Brennan, I. Kovacic, A. Carrella et T.P. Waters, « On the jump-up and jump-down frequencies of the Duffing oscillator », Journal of Sound and Vibration, vol. 318, nos 4–5, , p. 1250–1261 (DOI 10.1016/j.jsv.2008.04.032).
- (en) Ivana Kovacic et Michael J. Brennan, The Duffing Equation : Nonlinear Oscillators and their Behaviour, (ISBN 978-0-470-71549-9, DOI 10.1002/9780470977859).
- (en) F. Tajaddodianfar, M.R.H. Yazdi et H.N. Pishkenari, « Nonlinear dynamics of MEMS/NEMS resonators: analytical solution by the homotopy analysis method », Microsystem Technologies, (DOI 10.1007/s00542-016-2947-7).
- (en) R.H. Rand, Lecture notes on nonlinear vibrations, Cornell University, , 13–17 p. (lire en ligne [PDF]).
- (en) Carl M. Bender et Steven A. Orszag, Advanced Mathematical Methods for Scientists and Engineers : Asymptotic Methods and Perturbation Theory, New York, Springer-Verlag, , 593 p. (ISBN 978-1-4757-3069-2, DOI 10.1007/978-1-4757-3069-2, lire en ligne).
- (en) Takashi Kanamaru, « Duffing oscillator », Scholarpedia, (lire en ligne).
- (en) D. W. Jordan et P. Smith, Nonlinear Ordinary Differential Equations : An introduction for Scientists and Engineers, Oxford University Press, 4e éd..
Voir aussi
    
    Articles connexes
    
Bibliographie
    
- (de) G. Duffing, Erzwungene Schwingungen bei veränderlicher Eigenfrequenz und ihre technische Bedeutung, vol. Heft 41/42, Brunswick, Vieweg, , 134 p. (OCLC 12003652)
- P.S. Addison, Fractals and Chaos : An illustrated course, CRC Press, , 147–148 p. (ISBN 978-0-8493-8443-1, présentation en ligne)
- C.M. Bender et S.A. Orszag, Advanced Mathematical Methods for Scientists and Engineers I : Asymptotic Methods and Perturbation Theory, Springer, , 545–551 p. (ISBN 978-0-387-98931-0, présentation en ligne)
- D.W. Jordan et P. Smith, Nonlinear ordinary differential equations – An introduction for scientists and engineers, Oxford University Press, , 4e éd., 540 p. (ISBN 978-0-19-920824-1)
- The Duffing Equation : Nonlinear Oscillators and their Behaviour, Wiley, , 392 p. (ISBN 978-0-470-71549-9)
Liens externes
    
- (en) Duffing oscillator sur Scholarpedia
- (en) Eric W. Weisstein, « Duffing Differential Equation », sur MathWorld
- Portail de l'analyse
