Novitchok
Les agents Novitchok (du russe : новичок, nouveau venu) sont un ensemble d'agents innervants : un poison du système nerveux qui bloque la transmission des informations nerveuses jusqu'aux organes. Développés par l'Union soviétique dans les années 1970 et 1980[2],[3] puis par la Russie au moins jusque dans les années 1990[4]. Ce sont des armes chimiques binaires, c'est-à-dire produites sous forme de composés précurseurs moins toxiques mis à réagir au moment de l'utilisation. Leur existence a été rendue publique en à la suite des révélations de Vil Mirzayanov, un scientifique russe aujourd'hui établi aux États-Unis qui participait à leur développement[5].

Il s'agirait des agents innervants les plus toxiques jamais conçus. Certaines molécules, comme le A-232, auraient, dans les conditions optimales, un effet cinq à huit fois plus puissant que l'agent VX[6],[7], tandis que d'autres, comme le A-234, seraient dix fois plus toxiques que le soman[8]. Ces composés appartiennent à la quatrième génération d'armes chimiques[alpha 1] développées dans le cadre du programme soviétique Foliant[3]. Initialement appelée K-84 et plus tard renommée A-230, la série Novitchok comprend plus d'une centaine de substances[3]. D'un point de vue militaire, le plus performant de ces composés serait le A-232 (Novitchok-5)[3], à l'origine du développement des formulations binaires de toute la série. Au sens strict, les agents innervants eux-mêmes sont appelés par leur code (A-232, par exemple) tandis que leur désignation Novitchok fait référence à leur forme binaire. Au sens large, de nombreux composés apparentés généralement très toxiques sont qualifiés de « type Novitchok » sans nécessairement être binaires.
La structure chimique de ces composés est longtemps restée obscure. Ils ont été conçus pour échapper à la Convention sur l'interdiction des armes chimiques, ne pas être détectés par les experts en armement chimique occidentaux ni par les médecins légistes, rendre inopérants les moyens de l'OTAN de protection et de traitement contre les armes chimiques, et pouvoir être présentés comme relevant de l'industrie des pesticides organophosphorés[9]. Ils ont en commun d'être des inhibiteurs de l'acétylcholinestérase, enzyme impliquée dans la transmission de l'influx nerveux et nécessaire à la relaxation musculaire. Ils agissent en provoquant une crise cholinergique conduisant à la mort essentiellement par étouffement.
Description

Les agents Novitchok ont été décrits pour la première fois par Vil Mirzayanov en octobre 1995[10]. Préparés sous forme d'huiles, de gels, voire de poudres ultra fines plutôt que sous forme de gaz ou de vapeur, ils présentaient des propriétés uniques. Ils furent ensuite préparés sous forme d'agents binaires, avec les mêmes propriétés que les précédents mais à partir de substances non régulées par la Convention sur l'interdiction des armes chimiques ou indétectables par les inspecteurs de l'Organisation pour l'interdiction des armes chimiques (OIAC). La désignation « Novitchok » fait référence à la forme binaire de ces substances, le composé final étant désigné par son numéro de code (par exemple, A-232).
La première série d'agents Novitchok correspondait à la forme binaire d'un agent de la série V, le VR, tandis que les derniers sont les formes binaires de composés tels que le A-232 et le A-234. Un rapport américain décrit le A-232 et son dérivé éthylé, le A-234, comme « aussi toxiques que le VX, aussi résistants au traitement que le soman, et plus difficiles à détecter et plus faciles à produire que le VX »[11]. La version binaire de ces agents utiliserait de l'acétonitrile CH3CN et des phosphates organiques qui peuvent être présentés comme de simples précurseurs de pesticides.
Les structures d'agents Novitchok données par Mirzayanov différaient quelque peu de celles identifiées par les experts occidentaux. Il précisa qu'un grand nombre de composés avaient été produits, et qu'un certain nombre d'entre eux, parmi les moins efficaces, avaient été publiés dans la littérature scientifique comme nouveaux insecticides organophosphorés afin de camoufler le programme soviétique d'armement chimique en programme de recherche sur les pesticides.
La structure de l'un des plus puissants d'entre eux, le A-234, varie ainsi quelque peu entre celle proposée par Mirzayanov et celle proposée par des experts occidentaux comme Hoenig[1] et Ellison[12] :
A-234 selon Mirzayanov.
A-234 selon Hoenig.
Les agents Novitchok sont réputés pouvoir être dispersés sous forme de liquides, d'aérosols ou de gaz à l'aide d'une grande variété de systèmes, comme des bombes, des obus d'artillerie, des missiles ou des vaporisateurs.
Chimie

Selon Jonathan Tucker (en), expert américain en armes chimiques, la première formulation binaire développée par le programme Foliant a permis de réaliser la « substance 33 » (VR) : très semblable au VX, il n'en diffère que par des substituants alkyle sur des atomes d'azote et d'oxygène. « Cette arme fut appelée Novitchok »[13].
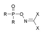
Un grand nombre de structures potentielles ont été publiées. Celles proposées par Hoenig présentent toutes un centre organophosphoré classique, parfois avec le groupe P=O remplacé par P=S ou P=Se, généralement présenté comme un phosphoramidate ou un phosphonate, le plus souvent fluoré, par exemple un monofluorophosphate PO3F2−. Les groupes organiques présentent une plus grande variabilité, mais avec en commun un substituant oxime de phosgène ou des structures analogues. Ceci confère à la molécule de puissantes propriétés vésicantes supposées accroître l'effet destructeur des agents Novitchok. Des auteurs affirment que ces molécules présentent en outre des motifs de réticulation susceptibles de se lier par covalence en plusieurs endroits du site actif de l'acétylcholinestérase, ce qui expliquerait la dénaturation rapide de l'enzyme, effet qui serait caractéristique des agents Novitchok.
Une simulation in silico réalisée à l'université de Californie à San Diego avec la structure de l'A-232 proposée par Mirzayanov a montré que cette molécule se liait étroitement par covalence à un résidu de sérine du site actif des acétylcholinestérases avec une affinité élevée, selon un mode semblable à celui observé avec des agents innervants comme le tabun et le soman[14].
Effets et antidotes

En tant qu'agents innervants, les agents Novitchok appartiennent à la classe des composés anticholinestérase organophosphorés. Ce sont des inhibiteurs de l'acétylcholinestérase, enzyme qui catalyse l'hydrolyse de l'acétylcholine CH3COOCH2CH2N+(CH3)3, un neurotransmetteur, en ion acétate CH3COO− et en choline HOCH2CH2N+(CH3)3. L'augmentation de la concentration en acétylcholine provoque une crise cholinergique majeure qui se traduit par un dysfonctionnement neuromusculaire généralisé conduisant à une sudation excessive, des nausées, des vomissements, la perte de contrôle des muscles, un arrêt respiratoire, un arrêt cardiaque et à la mort, que ce soit des suites d'une défaillance cardiaque ou d'une suffocation provoquée par l'envahissement des poumons par des sécrétions anormalement abondantes (bronchorrhée). D'après Mirzayanov, le Novitchok-5 (A-232) est, dans les conditions optimales, cinq à huit fois plus puissant que le VX ; deux études comparatives théoriques plus récentes[16],[17] suggèrent quant à elles une toxicité inférieure à ce dernier. Les substances actives des Novitchok sont présumées être liquides, en partie également solides, et peuvent être administrées aux victimes par injection, inhalation ou application sur l'épiderme. Le A-230 et le A-232 franchissent la barrière hémato-encéphalique et pénètrent rapidement dans le système nerveux central à partir de la circulation sanguine générale[18].
Le traitement des victimes exposées à un agent Novitchok nécessite davantage de moyens que pour les autres agents innervants. En règle générale, l'utilisation d'anticholinergiques rapides tels que l'atropine peut bloquer les récepteurs de l'acétylcholine afin de prévenir l'empoisonnement du système nerveux parasympathique par un excès d'acétylcholine. Les doses d'atropine nécessaires dans le cas d'un empoisonnement par un agent Novitchok sont cependant telles qu'elles sont susceptibles d'infliger aux victimes des effets secondaires graves comme un changement de la fréquence cardiaque et l'épaississement des sécrétions bronchiques consécutives à l'exposition à l'agent innervant, de sorte que des techniques de maintien en vie sophistiquées sont nécessaires en complément de l'administration d'atropine.
Dans le traitement des victimes exposées à un agent innervant, l'atropine est le plus souvent employée avec des oximes telles que la pralidoxime, l'obidoxime, le TMB-4 ou le HI-6, qui réactivent l'acétylcholinestérase inactivée par phosphorylation sous l'effet d'un agent innervant organophosphoré et soulagent la paralysie des muscles respiratoires provoquée par certains de ces agents. La pralidoxime n'est cependant pas efficace contre le soman et les agents Novitchok.
Selon des scientifiques russes[19], les agents Novitchok sont susceptibles de laisser des séquelles dans le système nerveux conduisant à des handicaps physiques permanents. Leurs effets sur l'homme ont pu être observés sur Andreï Jelezniakov, un scientifique soviétique qui a participé à leur développement et a été accidentellement exposé à un agent Novitchok non déterminé alors qu'il travaillait dans un laboratoire à Moscou en 1987. Il fut hospitalisé dans un état critique et mit dix jours à reprendre conscience après l'accident. Il perdit la capacité de marcher et fut traité dans une clinique secrète à Léningrad pendant les trois mois qui suivirent. Il souffrit par la suite de « faiblesse musculaire chronique aux bras, d'une hépatite toxique conduisant à une cirrhose du foie, d'épilepsie, d'accès de dépression, et d'incapacité à lire ou à se concentrer qui le laissa totalement handicapé et inapte au travail ». Il ne s'en remit jamais et mourut en juillet 1992 après que sa santé se fut détériorée pendant cinq ans[3].
L'US Army a financé des études sur l'utilisation de la galantamine avec l'atropine dans le traitement de plusieurs agents innervants, dont le soman et les agents Novitchok. Une synergie inattendue est apparue entre la galantamine, administrée cinq heures avant jusqu'à 30 minutes après l'exposition, et l'atropine, administrée à raison de 6 mg/kg ou plus. Augmenter la dose de galantamine de 5 à 8 mg/kg réduit la dose d'atropine nécessaire pour protéger des animaux de la toxicité du soman administré à hauteur de 1,5 fois la DL50[20].
Utilisations
Empoisonnement d'Ivan Kivelidi et Zara Ismaïlova
Le banquier russe Ivan Kivelidi (ru) meurt le 4 août 1995 à Moscou à l'âge de 46 ans, deux jours après son assistante Zara Ismaïlova, tous deux victimes d'un empoisonnement au VR, considéré comme le premier Novitchok et à l'origine de toute la série[21], après qu'on eut d'abord pensé à un empoisonnement au cadmium[22]. Selon les historiens Iouri Felchtinski et Vladimir Pribylovski, cet assassinat est « l'un des premiers d'une série d'empoisonnements organisés par les services secrets russes ». Le ministère de l'Intérieur russe annonce, après avoir analysé la substance, qu'il s'agit d'un « agent innervant de qualité militaire à base de phosphore (...) dont la formule est strictement classifiée »[23]. Nesterov[Qui ?], qui est responsable administratif du centre de Chikhany, affirme qu'il n'y a pas eu « un seul cas d'un tel poison vendu illégalement », et ajoute que ce poison « est utilisé par les espions professionnels »[23].
Cependant, un ancien partenaire d'affaires de Kivelidi, Vladimir Khoutsichvili, est par la suite condamné pour ces assassinats. Il aurait obtenu cette substance à l'aide d'une série d'intermédiaires à partir d'un employé du GosNIIOKhT, l'Institut d'État de recherche en chimie organique et en technologie dans lequel étaient développés les agents Novitchok. Selon Felchtinski et Pribylovski, Khutsichvilli fut accusé du meurtre par les services secrets russes qui ont eu accès à l'agent chimique et l'ont utilisé pour organiser le meurtre sur les ordres d'un haut fonctionnaire russe[23].
Leonard Rink, un employé du GosNIIOKhT, fut suspendu un an pour avoir vendu des agents Novitchok à des acheteurs anonymes « d'ethnie tchétchène » peu après l'empoisonnement de Kivelidi et Izmaïlova[24].
Empoisonnement de Sergueï et Ioulia Skripal

Les autorités britanniques affirment que le poison utilisé le à Salisbury contre Sergueï Skripal, un officier de renseignement russe réfugié en Angleterre, et sa fille Ioulia, appartient à la classe des agents Novitchok[25].
L'Organisation pour l'interdiction des armes chimiques, dans un compte rendu publié le , concernant l'assistance technique de l'OIAC demandée par le Royaume-Uni a précisé que les quatre laboratoires indépendants, désignés pour l'expertise technique, ont confirmé la thèse de Londres sur la nature du poison utilisé[26],[27].
Empoisonnement de Charlie Rowley et de Dawn Sturgess
Le 30 juin 2018, Charlie Rowley et Dawn Sturgess, habitants d'Amesbury, sont retrouvés inconscients. Initialement traitée comme un cas probable d'overdose à l'héroïne ou à la cocaïne en raison du passé toxicomane du couple, l'affaire prit rapidement une autre tournure du fait de sa proximité géographique avec Salisbury ainsi que des symptômes particuliers[28] décrits par celui qui avait appelé les secours[29] : Dawn Sturgess semblait « faire une attaque et avoir de l'écume dans la bouche », tandis que Charlie Rowley commençait à « se balancer contre le mur », avait « les yeux grands ouverts, le regard vide et le blanc de l'œil piqueté », et « transpirait, bavait et émettait des sons bizarres »[30].
Le couple avait passé la journée du 29 juin précisément à Salisbury ; Sturgess et Rowley avaient pour habitude de ramasser des objets usagés qu'ils pouvaient vendre[31]. Dawn Sturgess meurt le 8 juillet 2018[32],[33]. Selon Charlie Rowley, qui se remet à ce moment-là lentement des suites de son intoxication, elle s'est vaporisé sur les poignets le contenu d'une bouteille de parfum trouvée à Salisbury dans un emballage intact et qu'il lui avait offert comme présent. Il se versa un peu de produit sur les mains en manipulant la bouteille, et trouva que son odeur n'était pas celle d'un parfum ; la substance lui sembla huileuse, et elle se rinça rapidement les mains pour s'en débarrasser[34].
Le 4 septembre 2018, l'Organisation pour l'interdiction des armes chimiques (OIAC) confirme que le couple a été empoisonné par un agent Novitchok[35].
Empoisonnement d'Alexeï Navalny
Le 20 août 2020, Alexeï Navalny s'écroule dans un vol Tomsk-Moscou, qui se déroute à Omsk, où il est hospitalisé. Ses proches, qui affirment qu'il a été empoisonné, obtiennent le surlendemain qu'il soit transféré dans un hôpital allemand. Le 2 septembre, les autorités allemandes déclarent détenir des « preuves sans équivoque » qu'il a été empoisonné par un agent Novitchok[36], affirmation confirmée le 14 septembre par deux laboratoires de référence de l’OIAC français et suédois[37]. Au contraire, les autorités russes affirment que leurs analyses n’ont décelé la présence d'aucune substance toxique[37]. Piégé au téléphone par un journaliste du Bellingcat, un chimiste membre du commando responsable de son empoisonnement explique comment il a récupéré et nettoyé les habits de Navalny à l’hôpital d’Omsk[38],[39]. Les détails cliniques de l'empoisonnement, exigés par Moscou, sont publiés dans The Lancet fin 2020[40],[41].
Histoire
Objectifs
Le développement des agents Novitchok poursuit quatre objectifs :
- être indétectables par les équipements standard de l'OTAN des années 1970 et 1980 ;
- rendre inopérants les équipements de protection de l'OTAN ;
- être moins dangereux à manipuler ;
- contourner les contrôles de l'Organisation pour l'interdiction des armes chimiques (OIAC) relatifs aux précurseurs des armes chimiques en général, et des agents innervants en particulier.
Certaines de ces substances sont des armes binaires, dans lesquelles les précurseurs sont mélangés pour produire l'agent innervant lui-même juste avant son utilisation. Dans la mesure où ces précurseurs sont généralement bien moins dangereux que les agents eux-mêmes, cette technique simplifie grandement la manipulation et le transport de ces munitions. Ces précurseurs sont de surcroît sensiblement plus faciles à stabiliser, ce qui permet d'allonger la durée de vie de ces munitions. L'inconvénient est qu'une préparation mal contrôlée peut produire des substances peu performantes.
Développement
Les agents Novitchok sont conçus à partir d'esters d'acide phosphorique. Vil Mirzayanov rapporta le cas des agents A-230, A-232 et A-234 comme étant les substances de bases à partir desquelles a été développée la série Novitchok, ainsi que la « substance 33 », ou « VX russe », c'est-à-dire l'agent VR[2]. Parmi ceux-ci, le VR et le A-230 furent validés comme armes chimiques, et environ 15 000 tonnes de VR furent produits, contre quelques dizaines de tonnes de A-230, à des fins expérimentales. Le A-232 fut également produit en quantités expérimentales mais ne fut pas militarisé en raison de sa trop grande instabilité[42]. C'est la raison pour laquelle une version binaire fut développée, dite Novitchok-5, et validée comme arme chimique en 1989. Selon Mirzayanov, seules quelques tonnes de cette substance furent produites, tandis que deux autres agents binaires étaient développés : un Novitchok non nommé et militarisé en 1990, et le Novitchok-7, testé en 1993, tous deux n'étant produits qu'à raison de quelques tonnes.
Le A-230 aurait été développé initialement par Piotr Petrovitch Kirpitchev au laboratoire chimique de Chikhany, à 750 km au sud-est de Moscou en direction de la frontière avec le Kazakhstan. Il s'agit d'un composé organophosphoré contenant de l'azote qui se présente sous la forme d'un liquide visqueux cristallisant à −10 °C, température de fusion cependant trop élevée pour permettre une utilisation militaire optimale du produit, lequel doit demeurer liquide sur le théâtre des opérations[3]. Une série de dérivés du A-230 a été produite afin d'en améliorer les propriétés physiques. Le A-232, et sa version binaire Novitchok-5, ne diffère ainsi du A-230 que par le remplacement d'un groupe méthyle –CH3 par un groupe méthoxyle –OCH3[3]. Le A-230 serait ainsi un phosphonate tandis que le A-232 serait plutôt un phosphate. L'absence de liaison carbone–phosphore dans le A-232 rend ce dernier plus difficile à détecter comme agent innervant et peut permettre d'en dissimuler la production aux yeux de l'Organisation pour l'interdiction des armes chimiques, car ce type liaison est un marqueur communément utilisé pour identifier d'autres armes chimiques organophosphorées comme le tabun, le sarin, le soman ou encore le VR, version russe du VX[3]. Le A-232 présente cependant l'inconvénient d'être deux à trois fois moins toxique que le A-230 et de se décomposer rapidement au contact de l'eau. Ces deux substances furent testées en 1976 au centre de production d'armes chimiques de Volgograd et se révélèrent cinq à huit fois plus toxiques que le VX ou le VR.
Les versions binaires de ces composés sont apparues dans les années 1980 et furent appelées Novitchok. La première de ces formulations binaires fut développée pour le VR, ou « substance 33 », puis le procédé fut étendu au A-230 et au A-232 afin de permettre le stockage de ces substances, trop instables sous leur forme unitaire, ce qui les rendait non stockables[42]. Dans la mesure où les substances utilisées pour produire ces armes chimiques sont également utilisées comme produits phytosanitaires, il était relativement facile de camoufler ce programme d'armement chimique. Selon Mirzayanov, le programme était « conçu pour dissimuler la production d'armes chimiques sous couvert d'une production civile légitime. »
Mikhaïl Gorbatchev annonça en avril 1987 que l'URSS cesserait de produire des armes chimiques et convertirait ses installations chimiques militaires en usines à vocation civile. L'Union soviétique poursuivit cependant secrètement le développement des agents Novitchok, et des tests en plein air du A-232 eurent lieu en 1989 et en 1990 sur le plateau d'Oust-Ourt, au Kazakhstan. Le développement de la série Novitchok se poursuivit également dans les années 1990, même après la divulgation par Mirzayanov de l'existence de ces recherches. Le Novitchok-7 fut mis au point à l'automne 1993 ; il présente une toxicité dix fois supérieure à celle du soman et une volatilité comparable[43]. Plusieurs tonnes de Novitchok-7 furent produites et testées à Chikhany et à Noukous, en Ouzbékistan. Deux autres agents, le Novitchok-8 et le Novitchok-9, furent développés et étaient susceptibles d'être mis en production[44].
L'Ouzbékistan n'aurait appris l'existence du programme d'armement chimique sur son sol qu'après son indépendance de l'Union soviétique. En 1993, les derniers scientifiques russes quittèrent le centre de recherche de Noukous, dans le nord du pays. L'Ouzbékistan négocia avec les États-Unis une assistance technique pour la décontamination des lieux et, en 1999, des experts américains sont intervenus dans la décontamination des installations de Noukous[45],[46].
En 2016, des chimistes iraniens ont synthétisé cinq agents Novitchok pour les analyser et ont fourni des données détaillées de spectrométrie de masse qui ont été ajoutées à la base centrale de données analytiques de l'Organisation pour l'interdiction des armes chimiques[47],[48]. Il n'y avait pas eu jusque-là de description détaillée des propriétés spectrales des Novitchoks dans la littérature scientifique d'accès ouvert[47],[49].
Selon Milos Zeman, président de la Tchéquie, du Novitchok A-230 a été produit, testé puis détruit en Tchéquie en 2017[50].
Divulgation
La révélation au public des agents Novitchok s'est déroulée progressivement sur une quinzaine d'années. L'existence du programme Novitchok fut tout d'abord révélée en 1992 par deux chimistes russes, Vil Mirzayanov et Lev Fiodorov (ru), qui publièrent le 16 septembre 1992 un article intitulé Politique empoisonnée dans le journal Moskovskie novosti[51],[52]. Mirzayanov accorda également une interview à Will Englund, correspondant à Moscou du quotidien américain The Baltimore Sun[53], qui attira l'attention internationale. Dans ces articles, Mirzayanov ne divulguait pas de secrets d'État relatifs à la nature des composés chimiques développés ni aux laboratoires impliqués, ce qui lui évita d'être condamné pour haute trahison ; il révélait en revanche que la Russie poursuivait secrètement en 1992 le développement de ces armes malgré l'affirmation de Mikhaïl Gorbatchev en avril 1987 à Prague que l'URSS avait cessé de produire de telles armes et construisait des infrastructures pour les détruire.
La révélation suivante concernait le composé A-232 (Novitchok-5), dont l'existence fut révélée par Vladimir Uglev dans une interview dans le magazine Novoïe Vremia début 1994[54]. Ce scientifique déclara dans une interview au Washington Post en 1989 qu'il avait participé à la mise au point de ce composé, que celui-ci est résistant au froid et qu'il en existe une version binaire[5]. Il révéla d'autres détails en 2018 à la suite de l'empoisonnement de Sergueï et Ioulia Skripal, déclarant que « plusieurs centaines » de composés différents furent synthétisés dans le cadre du programme Foliant mais que seuls quatre Novitchok furent militarisés — probablement les Novitchok-5, 7, 8 et 9 mentionnés par d'autres sources — dont trois liquides et un dernier, développé dans les années 1980, qui pouvait être produit à l'état de poudre.
En 2008, Mirzayanov, qui s'était établi aux États-Unis depuis 1995, divulgua davantage de détails techniques sur les agents Novitchok, et notamment leur structure chimique[55]. Ces révélations ne furent pas du goût des services de renseignement américains et britanniques : il ressort de télégrammes diplomatiques américains publiés dans le cadre de WikiLeaks qu'en 2009, les États-Unis et le Royaume-Uni ont pris des mesures pour éviter que les membres de l'Organisation pour l'interdiction des armes chimiques et de l'« Australia Group Collective » n'examinent la question des Novitchok[56],[57]. Dans un document daté du 27 mars 2013, Stefan Mogl, du laboratoire suisse Spiez, président du Conseil scientifique consultatif de l'OIAC, disait que ce Conseil avait trop peu d'informations pour se prononcer sur l'existence ou sur les propriétés des « Novitchoks »[58]. Dans un livre édité en 2016 par la Royal Society of Chemistry, on lisait : « Dans ces dernières années, il y a eu beaucoup de spéculations sur une quatrième génération d’agents innervants, les ‘Novitchoks’ (...). Les informations sur ces composés ont été rares dans le domaine public, et elles provenaient pour la plupart d’un chimiste militaire russe dissident, Vil Mirzayanov. Aucune confirmation indépendante des structures ou des propriétés de ces composés n’a été publiée[59].
En mai 2018, plusieurs organes de presse allemands annoncent que, dans les années 1990, un transfuge russe proposa aux services de renseignement de la République fédérale de leur fournir un échantillon de Novitchok en échange d'une protection. L'Allemagne aurait fait analyser l'échantillon par un laboratoire suédois, qui aurait communiqué la formule chimique à l'Allemagne. L'Allemagne aurait également informé les services de renseignement britanniques et américains, puis de petites quantités de Novitchok auraient été produites dans des pays de l'OTAN en vue de chercher et de tester des moyens curatifs[60],[61].
Vers une interdiction internationale
Le le Conseil exécutif de l'Organisation pour l'interdiction des armes chimiques (OIAC) a étudié une proposition révisée de la Russie qui placerait les Novichok sous le régime de vérification du traité, et ajouterait au traité une classe d'armes potentielles (carbamates, anti-acétylcholinestérase, ou neurotoxiques de quatrième génération).
Une proposition semblable émane des États-Unis, du Canada et des Pays-Bas. Un accord est trouvé en faveur de son interdiction, en novembre 2019, et la liste des armes chimiques interdites dans le monde (depuis l'entrée en vigueur de la CIAC en 1997) connaît sa première mise à jour[62],[63]. David Jett, qui dirige le programme de lutte contre les menaces chimiques des instituts nationaux de la santé des États-Unis, note que si le gouvernement américain limite le travail sur les Novichoks à un petit nombre de laboratoires de défense, des chercheurs universitaires peuvent maintenant aussi s'associer à l'étude de ces produits (pour notamment leur trouver des antidotes), en utilisant des modélisations des produits faites sur ordinateur, pour ne pas avoir à les manipuler[62].
L'inscription de ces produits sur la liste des armes chimiques de l’annexe 1 du CAC a longtemps été repoussée par les États membres du traité qui craignaient probablement, pour certains, d'avoir non seulement à déclarer et détruire tous leurs stocks, mais aussi de réglementer les ingrédients de ces armes ce qui pourrait déplaire à l'industrie chimique et faire de la publicité à ces produits au risque de la prolifération[62]. En 2019, le secret étant éventé, les agents Novichok semblaient dorénavant pouvoir faire l'objet d'une coopération internationale pour leur éviction[62].
Dans la fiction
Le quatrième épisode de la série télévisée britannique et américaine Strike Back: Retribution (en), diffusé le 23 février 2018, met en scène un savant russe accusé d'avoir tué ses collègues à l'aide de Novitchok[réf. nécessaire].
Le film La somme de toutes les peurs (2002), dont le scénario s'inspire du roman homonyme de Tom Clancy (1992), met en scène le Novitchok dans un tir massif d'artillerie effectué par l'armée russe sur la ville de Grozny, lors de la guerre en Tchétchénie[réf. nécessaire].
Dans la série The Boys (2019-), diffusée sur Amazon Prime, il est mentionné lors de l'épisode 3 de la saison 7 que le super héros Le petit soldat est résistant au Novitchok, qui n’entraînerait chez lui qu’un endormissement momentané[réf. nécessaire].
Notes et références
Notes
- Les trois premières générations d'armes chimiques sont par exemple représentées par le chlore, le phosgène et le gaz moutarde (1re génération, utilisée pendant la Première Guerre mondiale), le tabun, le sarin, le soman, le cyclosarin et le GV (2e génération, ou « série G », pour Germany, car développée en Allemagne dans les années 1930), et le VG, le VM, le VR ou le VX (3e génération, ou « série V », pour Victory, car développée à la suite de la Seconde Guerre mondiale).
Références
- (en) Steven L. Hoenig, Compendium of Chemical Warfare Agents, Springer, 2007. (ISBN 978-0-387-34626-7)
- (en) Vil Mirzayanov, « Dismantling the Soviet/Russian Chemical Weapons Complex: An Insider's View », Global Proliferation of Weapons of Mass Destruction: Hearings Before the Permanent Subcommittee on Investigations of the Committee on Governmental Affairs, 1995, 104e congrès, p. 393-405.
- (en) Jonathan B. Tucker, War of Nerves, Anchor Books, New York, 2006, p. 232-233. (ISBN 978-0-375-42229-4)
- (en) Stephanie Fitzpatrick, « Novichok », Weapons of Mass Destruction: The Essential Reference Guide, Eric A. Croddy, James J. Wirtz et Jeffrey A. Larsen, éditions ABC-CLIO, Santa Barbara, 2005, p. 201–202. (ISBN 978-1-85109-490-5)
- (en) David Hoffman, « Soviets Reportedly Built Weapon Despite Pact », sur https://www.washingtonpost.com, (consulté le ), A36.
- (en) Vadim J. Birstein, The perversion of knowledge : the true story of Soviet science, Westview, , 492 p. (ISBN 978-0-813-34280-1 et 978-0-813-34280-1, OCLC 56696682)
- (en) Evgeniia Albats (trad. du russe par Catherine A. Fitzpatrick), The state within a state : the KGB and its hold on Russia--past, present, and future [« Мина замедленного действия »], New York, Farrar, Straus, Giroux, , 401 p. (ISBN 978-0-374-52738-9 et 978-0-374-18104-8, OCLC 30110346), p. 325-328
- (en) Eric Croddy et James J. Wirtz, Weapons of mass destruction : an encyclopedia of worldwide policy, technology, and history, Santa Barbara, Calif., ABC-CLIO, , 601 p. (ISBN 978-1-280-71386-6, 978-1-851-09495-0 et 978-1-851-09490-5, OCLC 57437768)
- (en) Jonathan B. Tucker, War of nerves : chemical warfare from World War I to al-Qaeda, New York, Pantheon Books, , 479 p. (ISBN 978-0-375-42229-4 et 978-0-375-42229-4, OCLC 60419762), p. 231-232
- (en) Amy Smithson, Michael Krepon, Roland Lajoie et Vil Mirzayanov, « Chemical Weapons Disarmament in Russia: Problems and Prospects » [PDF], sur stimson.org, (consulté le ).
- (en) Bill Gertz, « Russia dodges chemical arms ban », sur globalsecurity.org reproduisant The Washington Times, (consulté le ).
- (en) D. Hank Ellison, Handbook of Chemical and Biological Warfare Agents, CRC Press, 2e édition, 2008. (ISBN 978-0-849-31434-6)
- (en) Mark Peplow, « Nerve agent attack on spy used ‘Novichok’ poison », Chemical & Engineering News, vol. 96, no 12, , p. 3 (lire en ligne)
- (en) Richard Stone, « U.K. attack shines spotlight on deadly nerve agent developed by Soviet scientists », Science, (DOI 10.1126/science.aat6324, lire en ligne)
- (en) H. Dvir, H. L. Jiang, D. M. Wong, M. Harel, M. Chetrit, X. C. He, G. Y. Jin, G. L. Yu, X. C. Tang, I. Silman, D. L. Bai et J. L. Sussman, « X-ray structures of Torpedo californica acetylcholinesterase complexed with (+)-huperzine A and (-)-huperzine B: structural evidence for an active site rearrangement », Biochemistry, vol. 41, no 35, , p. 10810-10818 (PMID 12196020, DOI 10.1021/bi020151+, lire en ligne)
- (en) Lars Carlsen, « After Salisbury Nerve Agents Revisited », Molecular Informatics, (PMID 30474294, DOI 10.1002/minf.201800106, lire en ligne)
- (en) Hanusha Bhakhoa, Lydia Rhyman et Ponnadurai Ramasami, « Theoretical study of the molecular aspect of the suspected novichok agent A234 of the Skripal poisoning », Royal Society Open Science, vol. 6, no 2, (DOI 10.1098/rsos.181831, lire en ligne)
- (en) Jonathan B. Tucker, War of Nerves, Anchor Books, New York, 2006, p. 234. (ISBN 978-0-375-42229-4)
- (en) Charles Edward Stewart, Weapons of Mass Casualties and Terrorism Response Handbook, Jones & Bartlett Learning, 2006. (ISBN 9780763724252).
- (en) « Method of Treating Organophosphorous Poisoning », United States Patent and Trademark Office, 22 janvier 2009. Dépôt de brevet 20090023706. Consulté le 13 April 2018.
- Pierre Avril, « Quand un banquier russe était tué au Novitchok dans le Moscou des années 1990 », sur http://www.lefigaro.fr/, (consulté le ).
- (en) Alessandra Stanley, « Moscow Journal; To the Business Risks in Russia, Add Poisoning », sur https://www.nytimes.com/, (consulté le ), A4.
- (en) Youri Felchtinsky et Vladimir Pribylovsky, The Corporation: Russia and the KGB in the Age of President Putin, Encounter Books, Londres, 2009, p. 453-457. (ISBN 978-1-594-03246-2)
- (en) Lizzie Dearden, « Why is the UK accusing Russia of launching a nerve agent attack on Sergei Skripal in Salisbury, and what is the evidence? », sur https://www.independent.co.uk/, (consulté le ).
- Maxime Vaudano, « Novitchok : un poison soviétique à l’histoire sulfureuse utilisé contre l’agent double russe », sur Le Monde.fr, (consulté le ).
- (en) Organisation for the Prohibition of Chemical Weapons, « OPCW Issues Report on Technical Assistance Requested by the United Kingdom : Incident in Salisbury UK », sur opcw.org, (consulté le ).
- 20 minutes avec l'Agence France-Presse, « Affaire Skripal: L'OIAC confirme la thèse de Londres sur l'origine russe du poison », sur 20minutes.fr, (consulté le ).
- (en) « Police fear Wiltshire couple have been exposed to nerve agent », sur https://www.theguardian.com/, (consulté le ).
- (en) « Amesbury incident latest: Couple 'poisoned' in Wiltshire named as Charlie Rowley and Dawn Sturgess by friend », sur https://www.independent.co.uk/, (consulté le ).
- (en) « Amesbury Novichok poisoning: Couple exposed to nerve agent », sur https://www.bbc.com/, (consulté le ).
- (en) Vikram Dodd, Steven Morris et Caroline Bannock, « Novichok poisonings: search intensifying to find contaminated item », sur https://www.theguardian.com/, (consulté le ).
- (en) « UPDATE: Woman dies following exposure to nerve agent in Amesbury »(Archive.org • Wikiwix • Archive.is • Google • Que faire ?), sur http://news.met.police.uk/, (consulté le ).
- Le Point, magazine, « Royaume-Uni : décès de la femme empoisonnée au Novitchok », Le Point, (lire en ligne, consulté le )
- (en) Steven Morris et Kevin Rawlinson, « Novichok victim found substance disguised as perfume in sealed box », sur https://www.theguardian.com/, (consulté le ).
- Couple de Britanniques empoisonnés : c'était bien du Novitchok, selon l'OIAC, RTBF avec Agences, 4 septembre 2018.
- Berlin dit avoir la « preuve » de l’utilisation d’un agent neurotoxique sur Alexeï Navalny, Le Monde/AFP
- « Des laboratoires français et suédois confirment l’empoisonnement de l’opposant russe Alexeï Navalny », Le Monde.fr, (lire en ligne, consulté le )
- « « Si l’avion n’avait pas atterri en urgence… » : un présumé officier du FSB piégé par Alexeï Navalny », Le Monde.fr, (lire en ligne, consulté le )
- (en-GB) « "If it Hadn't Been for the Prompt Work of the Medics": FSB Officer Inadvertently Confesses Murder Plot to Navalny », sur bellingcat, (consulté le ).
- « L’hôpital de Berlin publie les détails de l’empoisonnement d’Alexeï Navalny au Novitchok », Le Monde, (lire en ligne, consulté le )
- (en) David Steindl, Wolfgang Boehmerle, Roland Körner et Damaris Praeger, « Novichok nerve agent poisoning », The Lancet, vol. 397, , p. 249-252 (ISSN 0140-6736 et 1474-547X, DOI 10.1016/S0140-6736(20)32644-1, lire en ligne, consulté le )
- (en) Jonathan B. Tucker, War of Nerves, Anchor Books, New York, 2006, p. 253-254. (ISBN 978-0-375-42229-4)
- (en) Jonathan B. Tucker, War of Nerves, Anchor Books, New York, 2006, p. 321. (ISBN 978-0-375-42229-4)
- (en) Jonathan B. Tucker, War of Nerves, Anchor Books, New York, 2006, p. 273, 299, 321. (ISBN 978-0-375-42229-4)
- (en) Judith Miller, « U.S. and Uzbeks Agree on Chemical Arms Plant Cleanup », sur https://www.nytimes.com/, (consulté le ).
- (en) Louise Hidalgo, « World: Asia-Pacific — US dismantles chemical weapons », sur http://news.bbc.co.uk/, (consulté le ).
- Ryan De Vooght-Johnson, « Iranian chemists identify Russian chemical warfare agents », spectroscopyNOW.com, Wiley, (consulté le ).
- Hosseini SE, Saeidian H, Amozadeh A, Naseri MT, Babri M, « Fragmentation pathways and structural characterization of organophosphorus compounds related to the Chemical Weapons Convention by electron ionization and electrospray ionization tandem mass spectrometry », Rapid Communications in Mass Spectrometry, vol. 30, no 24, (DOI 10.1002/rcm.7757, lire en ligne, consulté le )
- (en) Report of the Scientific Advisory Board on developments in science and technology for the Third Review Conference (rapport), Organisation for the Prohibition of Chemical Weapons, , p. 3 (lire en ligne, consulté le )
- Associated Press, « Czech president: Czechs made Novichok, citing spy agency », The Washington Post, 3 mai 2018, en ligne.
- (ru) Lev Fiodorov et Vil Mirzayanov, « Politique Empoisonnée », Moskovskie Novosti, no 39, 1992.
- (en) Robert G. Darling et Erin E. Noste, « Chapter 80 – Future Biological and Chemical Weapons », Ciottone's Disaster Medicine (Second Edition), , p. 489-498 (DOI 10.1016/B978-0-323-28665-7.00080-7, lire en ligne)
- (en) Will Englund, « Ex-Soviet scientist says Gorbachev's regime created new nerve gas in '91 », sur http://articles.baltimoresun.com/, (consulté le ).
- (en) J. Michael Waller, « The Chemical Weapons Coverup », sur https://www.wsj.com/, (consulté le ).
- (en) Vil S. Mirzayanov, State Secrets: An Insider's Chronicle of the Russian Chemical Weapons Program, Outskirts Press, 2008. (ISBN 978-1-4327-2566-2)
- Demande d'instructions du délégué américain en date du 26 mars 2009, Wikileaks.
- Instructions de Hillary Clinton, State Secretary, en date du 3 avril 2009, Wikileaks.
- « Report of the Scientific Advisory Board on Developments in Science and Technology for the Third Review Conference, Remarks by the Chair (Stefan Mogl, Spiez Laboratory, Switzerland, Chair of the Scientific Advisory Board) », point 8, en ligne.
- Robin Black, « Development, Historical Use and Properties of Chemical Warfare Agents », premier chapitre du livre Chemical Warfare Toxicolgy, Royal Society of Chemistry, 2016, p. 19.
- « Nervengift Nowitschok: BND beschaffte Probe in den Neunzigerjahren », Spiegel Online, 16 mai 2018, en ligne.
- Le Monde avec AFP, « Les services secrets allemands auraient mis la main sur du Novitchok dans les années 1990 », 17 mai 2018, en ligne.
- Richard Stone (2019) Poison used in recent attack on Russian spy may soon be banned ; 23 octobre 2019
- (en) Davide Castelvecchi, « Novichok nerve agents banned by chemical-weapons treaty », Nature, (DOI 10.1038/d41586-019-03686-y, lire en ligne, consulté le )
- (en) Cet article est partiellement ou en totalité issu de l’article de Wikipédia en anglais intitulé « Novichok agent » (voir la liste des auteurs).
Voir aussi
- Portail de la chimie
- Portail de l’histoire militaire
- Portail de l’URSS
- Portail de la Russie

