Jusquiame noire
Hyoscyamus niger
La Jusquiame noire (Hyoscyamus niger) est une plante herbacée de la famille des Solanacées, originaire d'Eurasie. C'est une plante toxique, riche en alcaloïdes tropaniques (hyoscyamine, scopolamine et atropine). Connue, avec le datura stramoine et la belladone, comme « Solanacée parasympatholytique officinale », la jusquiame noire est inscrite à la Pharmacopée européenne[1].
Description
    



La jusquiame noire[2] est une plante annuelle ou bisannuelle selon la variété, à odeur désagréable et à poils glanduleux collants. La tige velue et visqueuse est simple[1] pour la variété annua et ramifiée pour la variété biennis.
Les nombreuses feuilles sont molles et douces au toucher, les basales pétiolées et parfois en rosette, les supérieures sessiles ou embrassantes. Elles sont ovales-oblongues, sinuées-lobées-pennatifides, à lobes inégaux triangulaires et à apex aigu.
L'inflorescence est une cyme unipare hélicoïde. La fleur est en général sessile, à corolle tubulée, campanulée (2-3 cm), terminée par cinq larges lobes arrondis. Le calice est vert, de 10-15 mm, tubulé à 5 dents. La corolle est actinomorphe mais avec une soudure légèrement moindre aux deux pétales inférieurs, jaune pâle, avec une gorge et des nervures pourpres ou violettes. Les 5 étamines dépassent un peu la gorge. La floraison se déroule de mai à septembre.
Le fruit est une pyxide renflée à la base et enchâssée dans le calice persistant, durci et à dents épineuses. Les graines sont jaune brun, discoïdes, de 1 mm.
Nom
    
La jusquiame noire fut autrefois appelée hanebane.
Histoire
    
Les plus anciens textes au monde relatifs à la pharmacopée sont ceux de la Mésopotamie et de l'Égypte. Les tablettes d'argile de Sumer font mention de l'utilisation de la jusquiame comme hallucinogène[3]. Le papyrus Ebers, un papyrus médical écrit à Thèbes vers 1600 avant notre ère, mentionne aussi la jusquiame[4] parmi des centaines d'autres drogues (opium, séné, ricin, etc.).
On a retrouvé en Scandinavie dans une tombe datant de l'Âge de Bronze une bière aromatisée de plusieurs plantes (myrte, reine des prés, etc.), dont la jusquiame noire. Il est avéré que la jusquiame entrait dans la composition de certaines bières, où elle décuplait les effets de l'ivresse alcoolique. La plante aurait aussi pu être utilisée par la suite par des guerriers vikings, puisque ses effets correspondent en partie à la description faite de la transe des berserkers[5].
Plus tard, les Grecs utilisaient aussi les propriétés délirogènes de la jusquiame pour provoquer des transes divinatoires. « Ainsi, à Delphes, la pythie, rendant les oracles au nom d'Apollon, aurait, avant de procéder à toute divination, consommé un hydromel à base de miel et de plantes toxiques en faible quantité, la jusquiame étant la principale d'entre elles; la pythie mettait encore à profit la fumée des graines de cette solanacée pour s'enivrer et prophétiser[6] ».
Le médecin grec du Ier siècle, Dioscoride, dans son traité De Materia Medica[7],[8],[9] sur les plantes médicinales, consacra la notice IV, 68, à la Hyoscyamo (en grec Υοςχυάμον) qui est identifiée à une jusquiame. Le jus et les graines sont employés comme antalgique dans le mal aux oreilles ou à la matrice. Une décoction de la racine dans du vinaigre est bonne en bain de bouche contre les maux de dents. Les graines sont préconisées aussi dans les inflammations des yeux et des pieds. Dioscoride met en garde cependant contre certains types de jusquiame qui peuvent provoquer « le sommeil et des délires ».
À la même époque, l'encyclopédiste romain Pline l'Ancien indique que l'hyoscyamus et la belladone sont capables de dilater les pupilles.
« On rapporte encore à Hercule la plante appelée apollinaire [chez les Romains], chez les Arabes altercum ou altercangenon, chez les Grecs hyoscyamos (jusquiame). Il y en a plusieurs espèces… Toutes causent la folie et des vertiges… Cette plante a, comme le vin, la propriété de porter à la tête et de troubler l'esprit… En général, l'emploi de cette plante est, selon moi, très hasardeux. En effet, il est certain que les feuilles même dérangent l'esprit, si on en prend plus que quatre. Les anciens pensaient que les feuilles, dans du vin, chassaient la fièvre. »[10].
— Pline l'Ancien, Histoire naturelle, livre 25, XVII, éd. Émile Littré
En dépit de cette mise en garde de Pline ou à cause d'elle, la jusquiame est restée longtemps une médication très prisée contre divers maux. Ses propriétés antalgiques furent ainsi employées jusqu'à l'époque moderne. En Europe, on trouve à partir du IXe siècle dans la littérature médicale la description de narcose par inhalation d'une éponge soporifique (spongia soporifera). Une série de recettes allant du IXe au XVIe siècle et provenant de divers pays nous sont parvenues. La plupart se trouvent dans des manuels de chirurgie ou dans des antidotaires[11]. La plus ancienne connue est celle de l'Antidotaire de Bamberg, Sigerist ; elle comporte de l'opium, de la mandragore, de la ciguë aquatique (cicute) et de la jusquiame. Au XIIe siècle, à l’école de médecine de Salerne, Nicolaus Praepositus prônait aussi, dans son Antidotarium, l'usage d'une éponge soporifique[12] dans certaines opérations chirurgicales. Elle était imbibée d'un mélange de jusquiame, de jus de mûre et de laitue, de mandragore et de lierre.
Du bas Moyen Âge jusqu'à la Renaissance, on trouve mention d'utilisations magico-religieuses de plantes dans plusieurs ouvrages d'astrologie alchimique tel le Grand Albert (XIIIe - XVIe siècle). À cette époque, la jusquiame noire surnommée « l'herbe au somme » est considérée comme une plante magique aphrodisiaque. Portée sur soi, elle « permet d'attirer le beau sexe » car elle rend son porteur « fort joyeux et fort agréable ». La plante « contribue beaucoup à donner de l'amour et à se servit du coït[13] ».
On trouve aussi parfois la jusquiame dans la composition d'onguents que les sorcières utilisaient, pensait-on, pour aller au sabbat.
Écologie
    
La plante est largement répartie en Eurasie : Europe dont France, Suisse, Russie, Asie et Afrique septentrionale. La jusquiame noire est protégée dans le canton de Vaud et le canton de Berne[14].
Elle pousse dans les terrains en friche ou labourés, souvent près de la mer ou à proximité de bâtiments agricoles. Elle s'est naturalisée dans les régions tempérées.
Composition
    
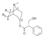
Les principes actifs de la jusquiame noire sont des alcaloïdes tropaniques (scopolamine et hyoscyamine) et nortropaniques (calystégines[15]), des stéroïdes de type withanolides[16](daturalactone-4, hyoscyamilactol, 16a-acetoxyhyoscyamilactol), des dérivés de la tyramine, des lignanamides, des lignanes et des coumarinolignanes[17] (cléomiscosine). La teneur en alcaloïdes totaux[18] est souvent faible (0,05-0,15 %) sauf dans les graines.
| Nom | R1 | R2 | Formule | 
|---|---|---|---|
| Hyoscyamine | H | H |  | 
| 7β-hydroxyhyoscyamine | OH | H | |
| 6β-hydroxyhyoscyamine | H | OH | |
| Scopolamine | -O- | ||
Les alcaloïdes principaux des graines sont l'hyoscyamine (75 %) et la scopolamine[19] (25 %). Dans les racines[20], le principal alcaloïde est aussi l'hyoscyamine suivie par la scopolamine, 6β-hydroxyhyoscyamine (anisodamine), 7β-hydroxyhyoscyamine. Les feuilles sont riches en substances minérales (18-20 %).

L'odeur nauséabonde de la jusquiame noire est due à la tétraméthylputrescine[1].
Toxicité
    
Sur le plan clinique, cette plante est un toxique (moins virulente cependant que les autres Solanacées à alcaloïdes tropaniques) : les surdosages peuvent entraîner spasmes, hallucination, tachycardie, perte de conscience et arrêt respiratoire. La toxicité bien réelle est cependant très rarement observée. Il a été signalé une confusion de la racine avec celle du persil[18]. Les symptômes de l'intoxication sont ceux du datura ou de la belladone.
Propriétés
    
Les alcaloïdes tropaniques de la jusquiame (hyoscyamine, 7β- et 6β-hydroxyhyoscyamine et scopolamine) sont des antagonistes non sélectifs des récepteurs muscariniques de l'acétylcholine. Ils peuvent donner lieu à toute une série d'effets cholinergiques indésirables : sécheresse buccale, épaississement des sécrétions bronchiques, troubles de l'accommodation, risque de glaucome, tachycardie, palpitations, constipation, rétention urinaire, excitabilité, irritabilité, confusion mentale et coma à forte dose[21]. Ils sont aussi qualifiés de parasympatholytiques directs.
Dotée de propriétés psychotropes communes aux Solanacées vireuses (datura, belladone et mandragore) la jusquiame noire a été utilisée en Europe depuis l'Antiquité à des fins rituelles, notamment pour entrer dans des états modifiés de conscience : dilatation des pupilles, sensations de distorsion de la personnalité, impressions de lévitation, confusion entre état hallucinatoire et éveillé, perceptions d'illusions comme étant la réalité, etc.
L'extrait au méthanol de graines manifeste des activités analgésiques, anti-inflammatoires et antipyrétiques significatives sur divers modèles animaux[17]. Les composés responsables de l'activité anti-inflammatoire pourraient être des coumarinolignanes (cléomiscosine A, B).
Les alcaloïdes tropaniques, (hyosciamine, scopolamine et atropine) furent utilisés pendant la Seconde Guerre mondiale comme sérum de vérité. Aujourd'hui, ils entrent dans la composition de nombreux médicaments, notamment contre le mal des transports, ou encore pour les soins des maladies neuro-dégénératives.
Utilisations médicinales
    
    Europe
    
Les feuilles seules ou mêlées de sommités florifères et parfois fructifères sont inscrites à la 3e édition de la Pharmacopée européenne[1]. La teinture de jusquiame, titrant de 0,009 à 0,011 % en alcaloïdes totaux, est inscrite à la Pharmacopée française (10e édition).
Cette drogue officinale est exclusivement destinée à la préparation de formes galéniques. Trop pauvre en alcaloïdes totaux pour faire l'objet d'une extraction industrielle d'alcaloïdes (à la différence de Brugmansia sanguinea ou de Datura metel), la variété bisannuelle est toutefois cultivée dans les pays de l'Europe de l'Est. Des essais de culture commerciale ont été faits en Inde ainsi que de la jusquiame d'Égypte Hyoscyamus muticus, beaucoup plus riche en alcaloïdes totaux[22].
Suivant Bruneton, « toutes les spécialités à base de Solanacées à alcaloïdes tropaniques peuvent induire des effets secondaires non négligeables. La présence de l'atropine dans ces spécialités entraîne pour celles-ci des contre-indications ». Risque de glaucome, de rétention urinaire, de reflux gastro-œsophagien doivent, entre autres, être pris en compte.
La jusquiame noire est utilisée en association, avec la bourdaine et l'aloès comme laxatif stimulant, avec la belladone, qui a des propriétés anti-douleurs, contre les douleurs digestives, avec l'éphédrine dans l'asthme, etc.
Asie
    
La médecine traditionnelle chinoise emploie les graines de Hyoscyamus niger sous le nom de Tianxianzi 天仙子. Les propriétés analgésiques de la drogue sont utilisées contre les crampes d'estomacs, les quintes de toux et l'épilepsie[23][source insuffisante].
En médecine traditionnelle tibétaine, la plante est connue sous le nom tibétain : ལང་ཐང་རྩེ, Wylie : lang thang rtse[24] les graines, dont la nature est considérée comme venimeuse, sont utilisées dans le traitement des douleurs associées à des processus pathogènes, des ulcères cancéreux[25], comme anthelminthique[26], anticancéreux et fébrifuge[27].
Références
    
- Bruneton, J., Pharmacognosie - Phytochimie, plantes médicinales, 4e éd., revue et augmentée, Paris, Tec & Doc - Éditions médicales internationales, , 1288 p. (ISBN 978-2-7430-1188-8).
- (fr) Référence Tela Botanica (France métro) : Hyoscyamus niger
- Claude Meyers, Mythologies, histoires, actualités des drogues, l'Harmattan, , 273 p.
- Guy Mazars (dir.), « Pharmacopées du Proche-Orient antique », Des sources du savoir aux médicaments du futur, IRD Éditions, .
- Karsten Fatur, « Sagas of the Solanaceae: Speculative ethnobotanical perspectives on the Norse berserkers », Journal of Ethnopharmacology, vol. 244, , p. 112151 (ISSN 0378-8741, DOI 10.1016/j.jep.2019.112151, lire en ligne, consulté le )
- Jean-Christoffe Doré et Claude Viel, « Histoire et emploi du miel, de l'hydromel et des produits de la ruche », Revue d'histoire de la pharmacie, vol. 91, no 337, , p. 7-20.
- Dioscoride textes numérisés par la BIUM (Bibliothèque interuniversitaire de médecine et d'odontologie, Paris).
- Texte grec et latin, édition de Leipzig 1829, sur le site de la BIUM (Bibliothèque interuniversitaire de médecine, Paris).
- (en) Pedanius Dioscorides of Anazarbus, De materia medica (translated by Lily Y. Beck), Olms - Weidmann, , 630 p.
- Bibliothèque numérique Medic@.
- Marguerite-Louise Baur, Recherches sur l'histoire de l'anesthésie avant 1846, Leyde, Brill, .
- (en) Albert Henry Buck, The Growth of Medicine from the Earliest Times to about 1800, Kessinger Publishing, .
- Guide de visite, les plantes magiques, du jardin des neuf carrés de l'abbaye de Royaumont.
- « Fiche espèce », sur www.infoflora.ch (consulté le )
- (en) Stephen Weigley, Biodiversity : new leads for the pharmaceutical and agrochemical industries, Royal Society of Chemistry, .
- (en) Ma CY, Williams ID et Che CT, « Withanolides from hyoscyamus niger seeds », J. Nat. Prod., vol. 62, no 10, .
- (en) Sajeli Begum, Bhagawati Saxena, Madhur Goyal, Rakesh Ranjan, Vijaya B. Joshi, Ch V. Rao, Sairam Krishnamurthy, Mahendra Sahai, « Study of anti-inflammatory, analgesic and antipyretic activities of seeds of Hyoscyamus niger and isolation of a new coumarinolignan », Fitoterapia, vol. 81, .
- Jean Bruneton, Plantes toxiques, Végétaux dangereux pour l'Homme et les animaux, Éditions TEC & DOC, 2005 (3e édition), 618 p..
- ou hyoscine, molécule ayant été reconnue par Ladenburg en 1880.
- (en) K. Uchida, M. Kuroyanagi, A. Ueno, « Tropane alkaloid production in hairy roots of Hyoscyamus niger transformed with Agrobacterium rhizogenes », Plant Tissue Culture Letters, vol. 10, no 3, .
- Yves Landry et Jean-Pierre Gies, Pharmacologie, des cibles vers l'indication thérapeutique, Éditions Dunod, .
- (en) H. Panda, Medicinal Plants Cultivation & Their Uses, Asia Pacific Business Press, .
- Baidu.
- (en) Christa Kletter et Monika Kriechbaum, Tibetan Medicinal Plants, , 383 p. (ISBN 9780849300318, lire en ligne), p. 147.
- (en) Gyalpo Dawa, A clear mirror of Tibetan medicinal plants, Préface du dalaï-lama, Linda C. Moore, Enrico Del Vico, Volume 1, traduit en anglais par Dr Tsering Dorjee Dekhang, Dr T.Yangchen, N. Dolma, Dr T.Lhamo, N. Phunrab et P. Gyaltsen, Éditeur Tibet domani (Rome), 1999, 375 pages, (ISBN 88-900533-1-3), p. 198
- https://books.google.fr/books?id=MQyrBAAAQBAJ&newbks=1&newbks_redir=0&printsec=frontcover&pg=PT189
- https://books.google.fr/books?id=U9bQDwAAQBAJ&newbks=1&newbks_redir=0&printsec=frontcover&pg=PA559
Voir aussi
    
    Articles connexes
    
Liens externes
    
- (fr + en) Référence ITIS : Hyoscyamus niger
- (en) Référence GRIN : espèce Hyoscyamus niger
- (fr) Référence Tela Botanica (France métro) : Hyoscyamus niger
- (fr) Référence INPN : Hyoscyamus niger (TAXREF)
- Portail des Solanaceae
- Portail de la bière
- Portail du Tibet


