Guanosine diphosphate
La guanosine diphosphate, abrégée en GDP, est un nucléotide. C'est une coenzyme de transfert de groupements phosphate. Elle résulte de l'hydrolyse de la GTP. Le groupement phosphate libéré peut être transféré sur une protéine.
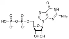
| Guanosine diphosphate | |
![]() Structure de la guanosine diphosphate |
|
| Identification | |
|---|---|
| No CAS | |
| PubChem | 8977 |
| ChEBI | 17552 |
| SMILES | |
| InChI | |
| Propriétés chimiques | |
| Formule | C10H15N5O11P2 [Isomères] |
| Masse molaire[1] | 443,200 5 ± 0,013 4 g/mol C 27,1 %, H 3,41 %, N 15,8 %, O 39,71 %, P 13,98 %, |
| Unités du SI et CNTP, sauf indication contraire. | |
Notes et références
- Masse molaire calculée d’après « Atomic weights of the elements 2007 », sur www.chem.qmul.ac.uk.
- Portail de la biochimie
- Portail de la chimie
Cet article est issu de Wikipedia. Le texte est sous licence Creative Commons – Attribution – Partage à l’identique. Des conditions supplémentaires peuvent s’appliquer aux fichiers multimédias.
