Acylglycérol
Les acylglycérols, également appelés glycérides ou glycérolipides, sont des esters d'acides gras et de glycérol. Ils sont majoritairement présents dans le tissu adipeux (90 %). Ils font partie des lipides.
Types
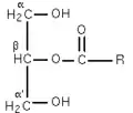
Fig 1 : β-monoglycéride.
Fig 2 : α-monoglycéride.
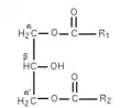
Fig 3 : α,α'-diglycéride.
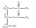
Fig 4 : α,β-diglycéride.
Fig 5 : triglycéride.
Monoacylglycérols (monoglycérides)
Selon que la liaison avec l'acide gras soit celle du milieu (sur le carbone β) ou une périphérique (sur le carbone α ou α'), il s'agit respectivement d'un β-monoglycéride (figure 1) ou d'un α-monoglycéride (figure 2).
Diacylglycérols (diglycérides)
Les figures 3 et 4 présentent les deux types de diglycérides. Si les deux acides gras sont identiques (R1 = R2), c'est un diglycéride homogène. Dans le cas contraire, il s'agit d'un diglycéride hétérogène.
Triacylglycérols (triglycérides)

Les figures 5 et 6 présentent un triglycéride (TG). Si les trois acides gras sont identiques, il s'agit d'un triglycéride homogène. Sinon, c'est un triglycéride mixte.
La formule semi-développée des triacylglycérols (TAG) est :
avec R1CO, R2CO et R3CO, trois chaînes acyle.
Phosphoacylglycérols
Les phosphoacylglycérols sont des esters d'acides gras, de phosphate et de diacylglycérol. Ils sont également appelés phosphoglycérides. Bien qu'ils correspondent à la définition des acylglycérols, ils sont généralement distingués de ceux-ci pour des raisons pratiques et historiques.
Propriétés chimiques
Hydrolyse
L'hydrolyse acide (en présence d'acide chlorhydrique) ou enzymatique en présence de lipase conduit à deux fractions :
- une hydrosoluble : le glycérol ;
- l'autre non soluble dans l'eau : des acides gras.
Saponification
La saponification est faite à chaud en présence d'une base forte, elle conduit à la formation de savons et de glycérol :
- en présence de soude (NaOH), il y a formation de savon blanc ;
- en présence de potasse (KOH), il y a formation de savon noir.
Cette réaction permet de mesurer l'indice de saponification.
Triacylglycérols ou triglycérides
Ils peuvent être simples ou mixtes selon la nature de leurs acides gras (AG). Les TAG correspondent à 90 % des lipides alimentaires. Il y a action d'une lipase gastrique dans 30 % des cas. L'isomérase transforme la liaison ester secondaire en liaison ester primaire pour permettre l'action de la lipase pancréatique. Les TAG sont synthétisés, stockés et libérés par les adipocytes. Les adipocytes blancs (100 à 200 µm de diamètre) représentent 15 à 20 % de l'individu. L'insuline inhibe la lipase hormonosensible (augmentation des TAG dans les adipocytes blancs). Le glucagon active la lipase, ce qui conduit à l'hydrolyse des TAG et à la production d'énergie dans les mitochondries.
La graisse brune est en très faible quantité chez l'adulte (mais en quantité importante chez le fœtus) et entoure les vaisseaux, le cœur, les reins : elle a une fonction de thermoprotection.
Les TAG sont 6,75 fois plus énergétiques que le glycogène (ils sont stockés sous forme anhydre (×3) et possèdent une chaîne carbonée réduite (×2,25) et 3 × 2,25 = 6,75). De plus, les TAG sont une réserve d'énergie à long terme, contrairement au glycogène qui est complètement épuisé au bout d'une journée de jeûne.
Les TAG sont trouvés dans les graisses animales (chaîne longue et acides gras saturés), les huiles végétales (chaînes courtes et acides gras insaturés), les produits laitiers.
L'hydrogénation des doubles liaisons entraîne la solidification des huiles végétales.
Saponification : TAG + KOH ⇒ glycérol + 3 sel d'AG (K-COO-R1).
- Portail de la chimie
- Portail de la biochimie