Interféromètre de Gires-Tournois
L'interféromètre de Gires-Tournois, aussi dénommé Gires-Tournois, miroir GTI et, en anglais, Gires-Tournois Interferometer, GTI, Gires-Tournois etalon, est un résonateur optique linéaire utilisé pour introduire de la dispersion chromatique. Il a été inventé en 1964 par les physiciens français François Gires (1931-2013) et Pierre Tournois (1936-2017).
Description
    
En optique, un interféromètre de Gires-Tournois est une lame transparente munie de deux faces réfléchissantes, dont l'une l'est quasi-parfaitement. Un faisceau de lumière arrivant sur la face opposée s'y réfléchit et se réfracte. L'onde réfractée subit ensuite un ensemble de réflexions d'amplitude décroissante à chaque nouvelle réflexion sur la face d'entrée. Par interférence de l'ensemble des ondes issues du côté éclairé, le faisceau initial est (presque) entièrement réfléchi, avec un déphasage dépendant fortement de la longueur d'onde.
La représentation complexe du coefficient de réflexion d'un interféromètre de Gires-Tournois est donnée par où 1 est le coefficient de réflexion de la première face, le déphasage associé à un aller-retour dans la lame, avec ,
- n étant l'indice de réfraction de la lame,
- e son épaisseur,
- θt l'angle de réfraction de la lumière dans la lame, et
- λ la longueur d'onde du faisceau dans le vide.
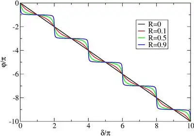
Variation non linéaire du déphasage avec la longueur d'onde
    

La réflexion de l'ensemble de l'énergie induite se traduit par , indépendamment de . La forte dépendance du déphasage avec la longueur d'onde est caractérisée par une relation non linéaire. Pour illustrer cet effet, nous considérerons le cas où est réel, avec , étant le coefficient de réflexion en intensité de la première face. À partir de la définition
- ,
nous obtenons
- .
Bien que cela ne soit pas le cas en pratique, nous pouvons vérifier que si = 0, la première surface n'étant pas réfléchissante, le déphasage est celui engendré par l'aller-retour entre les deux surfaces : = - . La réponse est alors linéaire. Lorsque est proche de 1, la dépendance du déphasage en fonction de devient non linéaire, avec une dépendance en escalier.
L'interféromètre de Gires-Tournois se distingue de celui de Fabry-Perot de par sa face quasi-parfaitement réfléchissante, les deux lames d'un Fabry-Perot étant symétriques. Pour ce dernier, utilisé en transmission et non pas en réflexion, le transfert de l'intensité n'est plus total, indépendamment de la fréquence.
Applications
    
L'interféromètre de Gires-Tournois a des applications dans la compression des impulsions lumineuses, étape notamment nécessaire au fonctionnement des lasers femtoseconde. Il intervient aussi dans l'interféromètre de Michelson non linéaire, où un interféromètre de Gires-Tournois est placé sur l'un des bras d'un interféromètre de Michelson. Ce type de dispositif peut être utilisé dans le multiplexage et le démultiplexage de signaux transmis par fibres optiques.
Notes et références
    
Bibliographie
    
- François Gires et Pierre Tournois, « Interféromètre utilisable pour la compression d'impulsions lumineuses modulées en fréquence », C.R. Hebd. Séance Acad. Sci., vol. 258, no 5, , p. 6112-6115 (ISSN 0001-4036, lire en ligne)
- (en) "Gires-Tournois Interferometer", dans RP Photonics Encyclopedia of Laser Physics and Technology.
- Portail de l’optique
