Loi de Lévy
En théorie des probabilités et en statistique, la loi de Lévy, nommée d'après le mathématicien Paul Lévy, est une loi de probabilité continue. En physique, plus précisément en spectroscopie, elle porte le nom de profil de van der Waals et décrit le profil de certaines raies spectrales.
| Distribution de Lévy | |
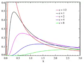
|   Densité de probabilité pour différentes valeurs de c. | |
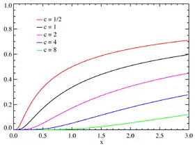
|   Fonction de répartition pour différentes valeurs de c. | |
| Paramètres |  | 
|---|---|
| Support | |
| Densité de probabilité | |
| Fonction de répartition | |
| Espérance | |
| Médiane | pour | 
| Mode | pour | 
| Variance | |
| Asymétrie | non définie | 
| Kurtosis normalisé | non défini | 
| Entropie | |
| Fonction génératrice des moments | non définie | 
| Fonction caractéristique | |
Cette loi dépend de deux paramètres : un paramètre de position qui décale le support , et un paramètre d'échelle .
Si X suit une loi de Lévy, on notera : .
Avec la loi de Cauchy et la loi normale, c'est l'une des trois à être stable par convolution et à posséder une densité de probabilité exprimable analytiquement.
Caractéristiques
    
    Densité de probabilité
    
La densité de probabilité de la loi de Lévy est donnée par :
où est le paramètre de position et est le paramètre d'échelle. Comme toutes les lois stables, il existe une forme standard de la loi, définie par la densité que l'on obtient à partir du changement de variable : dans l'expression de .
La loi de Lévy possède une queue lourde, exprimée par la formule :
Cette propriété est illustrée par la représentation de la densité sur un repère log-log.

Fonction de répartition
    
La fonction de répartition de la loi de Lévy est donnée par :
où erfc est la fonction d'erreur complémentaire.
Fonction caractéristique
    
La fonction caractéristique de la loi de Lévy est :
On peut écrire cette fonction caractéristique sous la forme plus classique des lois stables :
La preuve de ce résultat utilise le théorème principal de Glasser.
Moments
    
Pour , le n-ième moment de la loi de Lévy est donné formellement par :
Cette intégrale diverge pour tout n>0, ainsi les moments de la loi de Lévy ne sont pas définis. La fonction génératrice des moments est donnée formellement par :
L'intégrale diverge pour et est ainsi non définie sur tout intervalle autour de zéro, la fonction génératrice des moments n'est donc pas définie.
Liens avec d'autres lois
    
- Si alors
- Si alors (loi inverse-gamma)
- La loi de Lévy est cas particulier de fonction de Pearson de type V.
- Si (loi normale) alors
- Si alors
- Si alors (loi stable)
- Si alors (loi inverse-χ² changée d'échelle)
- Si alors (loi normale repliée)
Référence
    
- Portail des probabilités et de la statistique
