Datura ferox
Datura ferox est une plante herbacée de la famille des Solanacées. C'est une plante toxique, riche en alcaloïdes tropaniques.
Datura quercifolia peut s'hybrider avec D. ferox et pourrait être une variété de ce dernier.
Étymologie : le terme ferox qui désigne l'espèce, vient du latin ferox « impétueux, fougueux » (Gaffiot) qui a donné en français féroce dont la valeur a évolué à partir du XVIIe siècle vers « cruel ». Il s'agirait d'une allusion aux aiguillons piquants du fruits.
Description
Le Datura ferox est plante herbacée annuelle, glabre ou légèrement pubescente avec des poils non glandulaires[1]. Sa taille varie de 50 cm à 1,50 m de haut. Les tiges épaisses, ramifiées, glabres à glabrescentes, sont vertes dans le haut et arborent à leur base une teinte violette rougeâtre. Les pousses juvéniles sont pubescentes.
Les feuilles sont largement ovales, avec une marge plus ou moins sinueuse à dentée. Elles sont couvertes d'un fin duvet qui leur confère un aspect duveteux. Leur taille varie de 8 à 16 cm de long sur autant de large.
Les fleurs sont peu apparentes, solitaires, érigées, en forme d'entonnoir, de 4,5 à 6 cm de long. Le calice cylindrique se termine par 5 lobes de 4-7 mm. La corolle de 4 à 6 cm de long est blanche, à 5 lobes terminés en pointe. Elle ne s'ouvre pas complètement.
Le fruit est une capsule ellipsoïdale à obovale, de 4 à 6 cm de long. Elle se développe en position dressée. Durant la maturation, la base du calice se transforme en une collerette recourbée vers le bas. A maturité, la capsule est couverte de longs aiguillons de 1,5 à 3,5 cm de long. Elle s'ouvre régulièrement en quatre segments qui libèrent des graines noires ou grises.
Écologie
Jusqu'à une époque récente, il était convenu que le Datura ferox était originaire du sud-est de la Chine[1] et qu'il avait été introduit en Europe très tôt à partir de l'Asie.
À la suite d'une étude taxonomique de Symon et Haegi[2] sur les Datura, il est couramment admis désormais que le Nouveau Monde est la zone d'origine et de diversification de tous les daturas. Pour Symon et Haegi, D. ferox pourrait être originaire du Mexique.
On le trouve actuellement dans toutes les régions chaudes du monde où il s'est naturalisé dans de nombreux endroits. En France, on le trouve dans la région méditerranéenne.
Il croît dans les terrains vagues, les friches, les zones nitrophiles et thermophiles.
Composition
La plante contient des alcaloïdes tropaniques avec comme composé principal la scopolamine. D'après l'analyse de Vitale, Acher et Pomilio[3], on trouve en outre de l'aposcopolamine et les composés présentés dans le tableau ci-dessous.
| Alcaloïdes | Formules | Graines % |
|---|---|---|
| scopolamine | ![]() |
76,3 |
| aposcopolamine | ![]() |
8,7 |
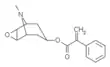
| 7-hydroxy-6-propenyloxy-3-tropoyloxytropane | ![]() |
6,7 |
| 3-phenylacetoxy-6,7-epoxytropane | ![]() |
4,5 |
| tigloyltropeine | ![]() |
3,0 |
| hygrine | ![]() |
0,6 |
La scopolamine est un parasympathicolytique provoquant d'abord sécheresse de la bouche, troubles visuels et à doses plus fortes hallucinations.
La toxicité de Datura ferox (et D. stramonium) pour le bétail a été signalée par les agronomes depuis le début du XXe siècle[3].
Références
- Ulrike et Hans-Georg Preissel, Brugmansia et Datura, Trompettes des Anges, Editions Eugen Ulmer,
- (en) David Symon, Haegi Laurence A.R., « Datura (Solanaceae) is a New World Genus. », Royal Botanic Gardens Kew and Linnean Society of London, vol. Solanaceae III, , p. 197-210
- (en) A.A. Vitale, A. Acher, A.B. Pomilio, « Alkaloids of Datura ferox from Argentina », Journal of Ethnopharmacology, vol. 49, , p. 81-89
Liens externes
- (en) Référence GRIN : espèce Datura ferox L. (consulté le )
- (fr + en) Référence ITIS : Datura ferox auct. non L. Non valide (consulté le )
- (fr + en) Référence ITIS : Datura quercifolia Kunth (consulté le ) - syn. du précédent
- (fr) Référence Tela Botanica (France métro) : Datura ferox L. (consulté le )
- Portail des Solanaceae





