Corrélogramme
En analyse des données, un corrélogramme est une représentation graphique d'une ou plusieurs corrélations entre des séries de données.

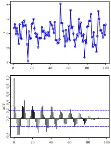
Exemple de corrélogramme réalisé avec le langage de programmation R.
Un corrélogramme permet de visualiser des données sous différentes formes.
Exemples
Exemple de corrélogramme
série de nombres pseudo-aléatoires
Bibliographie
- Friendly, Michael Corrgrams: Exploratory displays for correlation matrices [PDF], 2002
- The Analysis of Time Series: An Introduction, Chris Chatfield, CRC Press, 2013 (ISBN 9780203491683)
Voir aussi
Liens externes
- http://www.universalis.fr/dictionnaire/correlogramme/
- (en) http://www.itl.nist.gov/div898/handbook/eda/section3/eda331.htm
- (en) http://www.stata.com/support/faqs/graphics/gph/graphdocs/correlogram-with-confidence-intervals/
- Portail des probabilités et de la statistique
- Portail des données
Cet article est issu de Wikipedia. Le texte est sous licence Creative Commons – Attribution – Partage à l’identique. Des conditions supplémentaires peuvent s’appliquer aux fichiers multimédias.