Conjecture de Firoozbakht
En théorie des nombres, la conjecture de Firoozbakht[1],[2],[3],[4] est une conjecture relative à la distribution des nombres premiers, proposée en 1982 par la mathématicienne iranienne Farideh Firoozbakht, de l'université d'Ispahan[5].

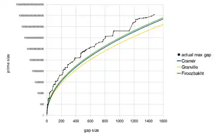
Diagramme représentant les nombres premiers en fonction des écarts entre les nombres premiers.
La conjecture énonce que la suite (où est le n-ième nombre premier) est strictement décroissante, soit encore :
La conjecture implique que
La conjecture de Firoozbakht est vérifiée pour tout
Références
(en) Cet article est partiellement ou en totalité issu de l’article de Wikipédia en anglais intitulé « Firoozbakht's conjecture » (voir la liste des auteurs).
- (en) Paulo Ribenboim, The Little Book of Bigger Primes, Springer, , 2e éd., 356 p. (ISBN 978-0-387-20169-6, lire en ligne), p. 185.
- (en) Carlos Rivera, « Conjecture 30. The Firoozbakht Conjecture », sur primepuzzles.net.
- (en) Zhi-Wei Sun, « Conjectures involving arithmetical sequences », Proc. 6th China-Japan Seminar, Number Theory: Arithmetic in Shangri-La, Shanghai, 15-17 août 2011, p. 244-258 (lire en ligne).
- (en) Zhi-Wei Sun, « On a sequence involving sums of primes », Bull. Aust. Math. Soc., vol. 88, , p. 197-205 (lire en ligne).
- (en) Jan Feliksiak, The Symphony of Primes, Distribution of Primes and the Riemann's Hypothesis, Xlibris, , 132 p. (ISBN 978-1-4797-6560-7, lire en ligne), p. 35-37.
- (en) Alexei Kourbatov, « Upper bounds for prime gaps related to Firoozbakht's conjecture », J. Integer Sequences, Article 15.11.2, vol. 18, (lire en ligne).
- (en) Alexei Kourbatov, « Verification of the Firoozbakht conjecture for primes up to four quintillion », International Mathematical Forum, vol. 10, no 6, (DOI 10.12988/imf.2015.5322, lire en ligne).
Voir aussi
Articles connexes
Bibliographie
(en) Hans Riesel, Prime Numbers and Computer Methods for Factorization, Boston/Basel/Stuttgart, Birkhauser, , 2e éd., 464 p. (ISBN 3-7643-3291-3), p. ?[réf. incomplète]
- Arithmétique et théorie des nombres
Cet article est issu de Wikipedia. Le texte est sous licence Creative Commons – Attribution – Partage à l’identique. Des conditions supplémentaires peuvent s’appliquer aux fichiers multimédias.