Artémisinine
L’artémisinine est une molécule organique de formule brute C15H22O5, et la substance active médicamenteuse isolée de l'Armoise annuelle (Artemisia annua). Il s'agit d'une lactone sesquiterpénique portant un groupe peroxyde qui semble être responsable de son efficacité thérapeutique.
| Artémisinine | |
| |
| Identification | |
|---|---|
| Nom UICPA | (3R,5aS,6R,8aS,9R,12S,12aR)-octahydro-3,6,9-triméthyl-3,12-époxy-12H-pyrano[4,3-j]-1,2-benzodioxépin-10(3H)-one |
| Synonymes |
(3R,5aS,6R,8aS,9R,12S,12aR)-3,6,9-triméthyloctahydro-3,12-epoxy[1,2]dioxépino[4,3-i]isochromén-10(3H)-one |
| No CAS | |
| No ECHA | 100.110.458 |
| Code ATC | P01 |
| SMILES | |
| InChI | |
| Apparence | poudre blanche |
| Propriétés chimiques | |
| Formule | C15H22O5 [Isomères] |
| Masse molaire[1] | 282,332 2 ± 0,015 g/mol C 63,81 %, H 7,85 %, O 28,33 %, |
| Liaison hydrogène | donneur nul (0 kJ·mol−1) accepteur modéré (5 kJ·mol−1) |
| Diamètre moléculaire | 550 nm |
| Propriétés physiques | |
| T° fusion | 152 à 157 °C |
| T° ébullition | décomposition ≥ 193 °C |
| Solubilité | peu soluble dans l'eau (51,9 mg/L-1 à 20 °C) ou dans l'huile soluble dans les solvants apolaires (51,9 mg/L-1 à 25 °C, à 298 K et pH=7,2) |
| Masse volumique | 1,24 g·cm-3 |
| T° d'auto-inflammation | 370 °C |
| Pression de vapeur saturante | 2,18E−06 mmHg (à 25 °C) |
| pression constante | 4,92E−09 atm-m3/mol (à 25 °C) |
| taux d'OH constant | 4,33E−11 cm3/molécule-sec |
| Propriétés optiques | |
| Pouvoir rotatoire | +76° (méthanol, 0,5 g·L-1) |
| Précautions | |
| SGH | |
![]() ![]() Attention | |
| Incendie | des NOx peuvent être libérés |
| Sécurité | fiche de données de sécurité[2] |
| Directive 67/548/EEC | |
![]() O ![]() N |
|
| Transport | |
| Écotoxicologie | |
| DL50 | 5 576 mg·kg-1 (rats, oral) 2 571 mg·kg-1 (rats, IM) |
| CL50 | 1 ng-240 min⁄mL |
| LogP | LogP3-AA[note 1] : 2,8 |
| DJA | 1 g (oral) |
| Seuil de l’odorat | inodore |
| Données pharmacocinétiques | |
| Métabolisme | sanguin |
| Demi-vie d’élim. | 1,9 à 2,6 heures |
| Stockage | 2 ans (entre 15 et 25 °C) |
| Excrétion | |
| Considérations thérapeutiques | |
| Classe thérapeutique | antipaludique, anthelminthique |
| Voie d’administration | per os, intrarectale, IM, IV |
| Grossesse | interdit |
| Conduite automobile | pas de contre indication |
| Précautions | per os, intrarectale et IM : aucune Par IV : anémie hémolytique dans 10 à 25 % des cas interaction avec le warfarin potassium[3], décomposition par les oxydes d'azote |
| Mise en garde médicale | |
| Composés apparentés | |
| Isomère(s) | gallate d'octyle |
| Unités du SI et CNTP, sauf indication contraire. | |
Elle est la base des médicaments antipaludiques les plus récents et actuellement les plus efficaces. Les essais cliniques de phase III menés démontrent aussi sa bonne potentialité comme médicament pour traiter la bilharziose et de la distomatose. Des essais de phase pré-clinique sont également en cours, notamment avec son dérivé la dihydroartémisinine, dans le but de traiter certains cancers, dont celui du sein, avec moins d'effets secondaires que la chimiothérapie classique.
Histoire
Pharmacopée traditionnelle

L'Armoise annuelle, qui appartient à la famille des Asteraceae, est utilisée en herbologie chinoise depuis plus de 2 000 ans. Son plus ancien usage formulé par écrit figure dans un texte appelé Recettes pour cinquante-deux maladies (chinois traditionnel : 五十二病方 ; pinyin : ) datant de 168 av. J.-C. découvert, parmi d'autres textes ayant trait à 283 traitements médicaux différents, dans une tombe mise à jour sur le site de Mawangdui et datant de la dynastie Han[4],[5]. Une des recettes décrit « comment faire tremper les feuilles et les branches de la plante de qing hao dans l'eau pendant une nuit, puis boire cette eau en tant que traitement contre le paludisme ».
Ge Hong en parle aussi dans son ouvrage intitulé Manuel de prescriptions pour les situations d'urgence (chinois traditionnel : 肘后备急方 ; pinyin : ) rédigé au début du IVe siècle[6] ainsi que l'herboriste Li Shizhen dans son Grand Traité d'herbologie (chinois traditionnel : 本草綱目 ; pinyin : ) écrit entre 1552 et 1587 et où sont codifiées 11 196 prescriptions[7]. Selon Li Shizhen, la préparation doit consister en « une touffe de feuilles, recueillie au printemps ou en été, macérée dans deux sheng (chinois traditionnel : 升 ; pinyin : ) d'eau (soit 2,07 L) puis pilée avec un pilon dans un mortier pour en extraire le jus »[8].
Histoire contemporaine
L’histoire contemporaine de l’artémisinine[note 2] commence pendant la guerre du Viêt Nam lorsque l’armée nord-vietnamienne construit tout un réseau de souterrains. Comme ces tunnels récupèrent toute l’eau de pluie, les anophèles transporteurs du paludisme s'y reproduisent dans l’eau stagnante. Le problème prend une telle ampleur, que l’armée nord-vietnamienne aurait perdu plus de soldats par le paludisme que par les armes[9]. Les Nord-vietnamiens se sont alors tournés vers la Chine de Mao Zedong pour essayer de trouver une solution.
En 1967, des chercheurs militaires chinois se sont donc attelés à l'étude des remèdes traditionnels à base de plantes avec l'espoir d’en trouver un d’efficace contre la variété de paludisme endémique dans la péninsule indochinoise. Ils ont assez rapidement trouvé l’Armoise annuelle et, dans une région de Chine peu touchée par cette maladie, ils ont observé, qu’au premier symptôme de paludisme, les habitants de cette région buvaient, selon une tradition millénaire, une décoction issue de qing hao. Généralement administrée sous forme de macération, elle n’avait pas d’effet secondaire visible et semblait très efficace.
Après l'étude de plus de 2 000 remèdes traditionnels et le test de 380 extraits, l'isolement de l'artémisinine fut réussie, sous la direction du professeur Tu[10]. C'est en 1972 qu'un des chercheurs, essayant d'extraire la (ou les) substance(s) active(s) de la feuille d'Armoise annuelle, eut l'idée originale d'utiliser un solvant non aqueux (hexane ou alcool suivant les versions). Il obtint (après purifications répétées sur gel de silice) une substance huileuse jaunâtre qu'il put cristalliser en une poudre blanchâtre faiblement soluble dans l'eau mais bien dans la plupart des solvants organiques (dichlorométhane, acétone) présentant une bonne stabilité thermique à température ambiante et, le plus important, capable de tuer Plasmodium falciparum in vitro. Ses actions antipaludiques et l'élaboration d'un procédé d'extraction simple ont rapidement suivi.
Sa structure a été confirmée en 1979 par des analyses cristallographiques par rayons X et l'utilisation d'un microscope électronique à balayage. C'est une lactone sesquiterpènique avec deux atomes d'oxygène liés par un pont peroxyde au-dessus d'un cycle à sept atomes de carbone (cf. le tableau ci-dessus). Elle possède sept centres d'asymétrie autorisant un grand nombre de stéréoisomères, mais, par chance, Artemisia annua n'en synthétise qu'un seul ; néanmoins, le caractère totalement asymétrique de la molécule d'artémisinine rend sa synthèse artificielle particulièrement difficile, en particulier à des coûts acceptables (d'où l'utilisation de dérivés semi-synthétiques comme l'artésunate, l'artéméther et l'artéether).
Ce n'est qu'après le constat, au début des années 1990, de l'aggravation des phénomènes de résistance du parasite envers les médicaments classiques comme la chloroquine ou l'amodiaquine que les laboratoires pharmaceutiques ont commencé à s'y intéresser, et il fallut attendre 2001 pour que l'Organisation mondiale de la santé (OMS) déclare l'artémisinine « le plus grand espoir mondial contre le paludisme ». En 2006, elle recommandait toutefois d'arrêter la monothérapie afin d'éviter les risques de résistance : l'artémisinine affaiblit le parasite mais ne le tue pas systématiquement, et elle présente son efficacité maximale en association avec d'autres anti-paludiques (ACT)[11]. Malgré cela, en deux études indépendantes ont rapporté pour la première fois une augmentation significative de la résistance à l'artémisinine de P. falciparum sur le terrain, au Cambodge, probablement en conséquence de pratiques et de traitements incorrects, tel que cela avait été prédit en 2006 par l'OMS[12]. En 2021, cette résistance partielle est confirmée au Rwanda[13].
En 2015 Tu Youyou reçu un prix Nobel de médecine pour sa découverte[14].
Production
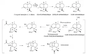
Le procédé de séparation des substances contenues dans les feuilles sèches de l'Armoise annuelle pour la production de l'artémisinine est la solubilité. Le fructose-1,6-bisphosphate est d'abord éliminé du composé amorphe qui est transformé en alcool par réaction d'oxydoréduction avec un complexe NADPH oxydase suivie d'une oxydation pour obtenir un aldéhyde qui est lui-même transformé en acide puis en hydroperoxyde par photo-oxydation avant de recevoir sa liaison péroxyde. La micronisation est obtenue à une température d’extraction de 62 °C sous une pression de 25 MPa avec précipitation à 45 °C via un tuyau de ø 1 000 μm. La taille du matériau granulaire ainsi obtenu est de 550 nm[15].
La biodisponibilité de l'artémisinine étant assez faible (51,9 mg/L), celle-ci est transformée en dérivés semi-synthétiques ayant tous cette liaison péroxyde :
- dihydroartémisinine (synonyme : arténimol) par réaction d'oxydoréduction, notamment, grâce à un cytochrome P450. C'est le métabolite secondaire de tous ses dérivés :
- artésunate par l'acide succinique anhydre dans un milieu alcalin et ayant une bonne hydrophilité,
- artéméther (synonyme : arténam) par le méthanol dans un milieu acide et ayant une bonne liposulubilité,
- artééther (synonyme : artémotil) par l'éthanol dans un milieu acide,
- acide artélinique,
- artélinate : (synonyme : sodium artélinate) sel de l'acide artélinique,
- artéflène,
- artémisinone.
Feuilles d'Armoise annuelle.
Biosynthèse de l'artémisinine.
Structure de l'artémisinine et de ses dérivés semi-synthétiques.
Le prix de revient est élevé comparativement à celui d'une quelconque molécule 100 % synthétique. Il faut 30 à 35 tonnes de plantes fraîches entières à l'hectare pour produire 2,5 à 3 tonnes de feuilles sèches dont est extrait environ 1,3 % d'artémisinine. Entre 2005 et 2008, ce prix a varié entre 120 et 1 200 USD le kilogramme[16].
La production s'améliore avec l'arrivée de nouvelles générations d'Armoise annuelle donnant un plus grand pourcentage de substance active et l'optimisation de la chaine de production[17].
Utilisant une levure transgénique, le laboratoire pharmaceutique Sanofi Pasteur annonce, en 2013, que le groupe est maintenant capable de produire l'artémisinine au prix de revient de 350 à 400 USD le kilogramme[18].
Mode d'action
L’artémisinine est une lactone sesquiterpénique portant un groupe peroxyde qui semble être la clé de son efficacité. Elle bloquerait une enzyme qui permet au parasite de pomper le calcium et l'empêchant ainsi de se développer.
Tandis que l'artéméther, c'est-à-dire la molécule de peroxyde réduite de l’artémisinine, réagit avec le fer des globules rouges pour créer des radicaux libres qui, à leur tour, détruisent les membranes du parasite ou de certaines cellules cancéreuses et les tuent. À noter cependant que la présence de toute substance protégeant des dommages radicalaires (antioxydant) pourrait contrarier son efficacité.
Thérapies

Si l'artémisinine et ses dérivés sont surtout connus pour leur rôle thérapeutique en première intention dans le traitement de la malaria due aux cinq espèces de Plasmodium responsables de la maladie chez l'homme, ils sont aussi utilisés dans les cas de bilharziose, de distomatose, de leishmaniose viscérale et de pancréatite chronique ainsi que comme marqueur biologique d'une nécrose hépatique[19],[20].
Paludisme
La prescription d'artémisinine, sous forme d'infusions, dont l'eau ne doit pas être bouillante car l'eau bouillante détruit l'Artémisinine[note 3],[21], de feuilles séchées de l'Armoise annuelle peut s'avérer très efficace et des résultats acceptables ont été obtenus avec des cures sous forme de tisanes, à utiliser au moment des fièvres. Les meilleurs résultats sont obtenus par macération et trituration dans l'eau froide, ou infusion dans le lait dont les lipides favorisent la dissolution de l'artémisinine[22].
Pourtant, cette utilisation en tisane fut fortement et rapidement déconseillée par l'OMS, car cette approche pouvait favoriser la résistance du parasite à la molécule semi-synthétique de l'artéméther. Bien que l'application du principe de précaution de la part de l'OMS soit louable, certains firent remarquer qu'aucune forme de résistance à l'artémisinine n'a été enregistrée en Chine, alors que cette tisane est utilisée seule depuis près de 2 000 ans[23]. L'incertitude apparue découlait de la possibilité nouvelle d'une utilisation systématique et d'une application en masse de traitements à base d'artémisinine de qualité plus ou moins variable sur une très nombreuse population, une situation qui jusqu'à présent ne s'était encore jamais produite avec cette substance. C'est pourquoi, dès 2002, l'OMS publie une recommandation claire sur la nécessité d'utiliser l’Artemisinin-based combination therapy (ACT) dans les pays touchés par les résistances aux antipaludiques classiques. Sur l'avis d'experts internationaux, elle recommande l'introduction de polythérapies pour remplacer les monothérapies dans le traitement du paludisme et préconise en particulier le recours à des associations médicamenteuses contenant des dérivés d'artémisinine.
La politique de précaution pratiquée par l'OMS s'est avérée réaliste car, dès 2009, les premiers cas de résistance de Plasmodium falciparum à l'artémisinine ont été signalés et confirmés en Asie du Sud-Est[24],[25]. C'est ainsi qu'en , elle édite une mise à jour de ses recommandations[26].
Cependant, une monothérapie à base d'artémisinine, ou d'un de ses dérivés comme l'artésunate ou l'artéméther ainsi que leur métabolite commun : la dihydroartémisinine, administrée sous forme de suppositoire, comme un Rectocap[note 4] de 200 mg d'artésunate, peut s'avérer particulièrement utile dans les cas de paludisme simple quand les patients sont incapables d'ingérer (vomissements répétés, impossibilité de manger/boire/téter, convulsions récurrentes, absence de réactions à la douleur, coma, absence de réactions psychomotrices) ou quand les présentations injectables ne sont pas disponibles ou qu'elles sont impossibles à administrer[27]. À noter, aussi, que l'utilisation d'une capsule rectale est préférable à une injection intramusculaire (IM) car n'importe qui est capable de l'administrer, il n'y a aucun risque d'infection par l'aiguille et la durée de réponse du produit est plus rapide. Elle est aussi préconisée par injection intraveineuse (IV) en traitement de première intention dans les cas de paludisme sévère.
Cette monothérapie (monodose de 10 mg kg−1, ce qui est le plus communément conseillé, ou de minimum 8,5 mg kg−1) induit une réaction parasitaire dans les douze heures et est supérieure à la quinine dans les vingt-quatre heures[note 5]. Elle doit impérativement être suivie, dès que possible, par un traitement avec une association médicamenteuse d'une ACT.
Bilharziose
Au début des années 1980, des chercheurs chinois ont découvert que l'artémisinine et ses dérivés sont aussi des anthelminthiques efficaces contre Schistosoma japonicum, un des schistosomes responsables de la bilharziose[20]. Des essais cliniques de phase III furent menés, au début des années 2000 et avec succès, en Afrique et en Chine sur d'autres espèces de trématodes responsables de la bilharziose et de la distomatose[28].
L'effet antiparasitaire le plus important se produit lorsque le schistosome est au stade juvénile de schistosomule[29],[20].
Dans l'avenir, l'artémisinine et ses dérivés, au vu de leurs faibles effets secondaires et de leur demi-vie nettement plus longue (entre 1,9 et 2,6 heures pour l'artémisinine contre 0,8 et 1,5 heure pour le praziquantel) devraient prendre une place importante au côté du praziquantel qui est, actuellement, le médicament le plus utilisé pour traiter la bilharziose[30].
Cancers
Des recherches in vitro ont montré l'action anticancéreuse de l'artémisinine combinée à du fer. En arrêtant le facteur de transmission E2F1, l'artémisine intervient dans la destruction des cellules cancéreuses – essais menés sur les cancers du poumon et du sein[31].
Covid-19
L'Institut malgache de recherches appliquées (IMRA) a mis au point en 2020 le Covid-Organics, à base de plantes dont l'armoise annuelle, qui permettrait de lutter contre l'épidémie de Covid-19[32]. L'OMS, tout en se déclarant favorable aux médecines traditionnelles, rappelle toutefois que la prudence est de mise, tant que l'efficacité n'est pas prouvée scientifiquement[33].
Les recherches menées par le laboratoire californien Mateon Therapeutics indiquent que l’artémisinine inhiberait fortement la multiplication du virus causant le Covid-19 avec un excellent coefficient de sécurité. En juin 2020, le Dr Vuong Trieu, PDG de Mateon déclare que « l’efficacité de l’artémisinine reste à tester dans des essais cliniques bien contrôlés et suffisamment poussés, mais elle présente de nombreux avantages pour lutter contre le Covid-19 »[34].
Effets indésirables
L'artémisinine est, en règle générale, bien tolérée par voie entérale et n'a que peu d'effets secondaires de trouble du système digestif le plus souvent causé par hyporexie ou dysphagie[35]. Ces effets sont plus fréquents lors d'une infection par Plasmodium falciparum. Sa dose létale médiane est légère (5 576 mg·kg-1 par voie entérale chez le Rat domestique). Une certaine neurotoxicité et des effets abortifs sont observés lors d'essais prolongés chez le Rat domestique mais vu la clairance rapide (demi-vie entre 1,9 et 2,6 heures dans le plasma sanguin) et l'exposition courte (3 à 5 jours) à la substance active lors d'une thérapie, ces risques sont considérés comme nuls chez les patients impaludés qui ne sont pas des femmes enceintes. Possibilité d'allergie à l'artémisinine (en infusion et en injection)[réf. nécessaire].
L'administration par injection intraveineuse (IV) peut entraîner dans 10 à 25 % des cas une anémie hémolytique qui apparaitra souvent post-traitement[36],[37].
Écotoxicité
L'artémisinine est écotoxique pour le plancton. Sa EC50 est toxique à partir de 100 mg/L pour les Daphnies, de 0,14 mg/L pendant 72 heures pour la Chlorophyceae Selenastrum capricornutum et de 300 mg/L pendant 3 heures pour les micro-organismes de la boue activée[38].
Notes et références
Notes
- Le LogP3-AA est l'atome pur en mode additif
- L'artémisinine est parfois aussi écrite artémisine.
- Pression de vapeur saturante entre 80 °C au niveau de la mer et 90 °C en très haute altitude.
- Un Rectocap est une solution colloïdale enrobée de gélatine pour former un suppositoire résistant aux manipulations et à la chaleur
- La CI50 de l'artémisinine et de ses dérivés est de 1 ng⁄mL contre 150 ng⁄mL pour la quinine.
Références
- Masse molaire calculée d’après « Atomic weights of the elements 2007 », sur www.chem.qmul.ac.uk.
- (de) « Artemisinin » [[PDF]], Sicherheitsdatenblatt, sur carl-roth.de, (consulté le )
- (en) « Artemisinin interactions », Drug interaction list, sur kegg.jp, KEGG (consulté le )
- (en) Christina L. White, « Cancer Smart Bomb, Part I: An Idea from Ancient Chinese Medicine », sur mwt.net, (consulté le ) : « Marquis of Dai, Chancellor of Changsha, § 9 et 10 »
- (zh-Hans) n.c., Wu shi er bing fang [« 五十二病方 »], Pékin, Wen wu chu ban she, coll. « Mawangdui Han mu bo shu », , 208 p. (OCLC 7739642)
- (zh-Hans) Ge Hong, Ge Hong zhou hou bei ji fang [« 葛洪肘後備急方 »], Pékin, Sheng chu ban she, , 262 p. (ISBN 978-7-117-00766-5, OCLC 213418179)
- (en) Li Shizhen (trad. Xiwen Luo), Compendium of materia medica : bencao gangmu [« 常見病五行漢方對症調養圖典 : 圖解本草綱目 »] (52 volumes), Pékin, Foreign Languages Press, , 4397 p., in-6 (ISBN 978-7-119-03260-3, OCLC 56367841)
- (en) Geoff Brown, « Artemisinin and a new generation of antimalarial drugs », Education in Chemistry, sur rsc.org, Royal Society of Chemistry, (consulté le ) : « Section : The discovery of artemisinin »
- (en) Niyi Awofeso, « Project 523: transformation of Artemisinin from traditional Chinese medicine to mainstream anti-malaria chemotherapy », Spatula DD, vol. 1, no 2, , p. 115 (DOI 10.5455/spatula.20110514053140).
- (en) Phil McKenna, « The modest woman who beat malaria for China », Health, sur newscientist.com, New Scientist, (consulté le )
- « L'OMS demande l'arrêt immédiat de la commercialisation des comprimes antipaludiques comportant uniquement de l'artemisinine », Centre des médias, sur who.int, OMS, (consulté le )
- (en) Arjen M. Dondrop, François Nosten et al., « Artemisinin resistance in Plasmodium falciparum Malaria », The New England Journal of Medicine, Waltham, Massachusetts Medical Society, vol. 361, no 5, , p. 445-454 (ISSN 0028-4793 et 1533-4406, OCLC 1587974, DOI 10.1056/NEJMoa0808859, lire en ligne [[html]])
- (en) Aline Uwimana, Noella Umulisa, Meera Venkatesan, Samaly S Svigel, Zhiyong Zhou, Léon Mutesa et al., « Association of Plasmodium falciparum kelch13 R561H genotypes with delayed parasite clearance in Rwanda: an open-label, single-arm, multicentre, therapeutic efficacy study », The Lancet, (lire en ligne)
- « Le Prix Nobel de Physiologie ou de Médecine 2015 attribué pour la lutte contre les maladies parasitaires », sur Planet-Vie (consulté le )
- (en) Huimin Yu, Xiuhua Zhao et al., « Preparation and Characterization of Micronized Artemisinin via a Rapid Expansion of Supercritical Solutions (RESS) Method », International Journal of Molecular Sciences, Bâle, MDPI, vol. 13, no 4, , p. 5060-5073 (ISSN 1422-0067, lire en ligne [[html]])
- Whitty et Court 2008, p. 33
- Whitty et Court 2008, p. 14-15
- (en) Mark Peplow, « Sanofi launches malaria drug production » [[html]], sur rsc.org, Chemistry World, (consulté le )
- (en) « Disease categorie », artemisinine, sur ctdbase.org, Comparative Toxicogenomics Database, (consulté le )
- (en) Xiao Shu-Hua, « Development of antischistosomal drugs in China, with particular consideration to praziquantel and the artemisinins », Acta Tropica, Amsterdam, Elsevier, vol. 96, nos 2-3, , p. 153-167 (PMID 16112072, DOI 10.1016/j.actatropica.2005.07.010, résumé)
- Jacques Falquet, Jorge FS Ferreira, Ben Gilbert et Elisabeth Hsu, « Artemisia Annua as a Herbal Tea for Malaria », African Journal of Traditional, Complementary, and Alternative Medicines, vol. 4, no 1, , p. 121–123 (ISSN 0189-6016, PMID 20162081, PMCID 2816434, lire en ligne, consulté le )
- (en) Jacques Falquet, Jorge F.S. Ferreira et al., « Artemisia Annua as a Herbal Tea for Malaria », African Journal of Traditional, Complementary, and Alternative Medicines, Ife, African Ethnomedicines Network, vol. 4, no 1, , p. 121-123 (ISSN 0189-6016, PMID 20162081, lire en ligne [[html]])
- Isabelle Huau, « Paludisme : un nouveau départ ? », Science actualités, Paris, Universcience, biologie et santé, (lire en ligne [[html]])
- (en) Dondorp AM, Nosten F, Yi P, Das D, Phyo AP, Tarning J, Lwin KM, Ariey F, Hanpithakpong W, Lee SJ, Ringwald P, Silamut K, Imwong M, Chotivanich K, Lim P, Herdman T, An SS, Yeung S, Singhasivanon P, Day NP, Lindegardh N, Socheat D, White NJ, « Artemisinin resistance in Plasmodium falciparum malaria », N Engl J Med, vol. 361, no 5, , p. 455-67. (PMID 19641202, PMCID PMC3495232, DOI 10.1056/NEJMoa0808859, lire en ligne [html])
- « Maîtrise de la résistance à l'artémisinine », Programmes et projets, Paludisme, sur who.int, OMS, (consulté le )
- n.c., Récapitulatif de la politique de l'OMS - mai 2010 : Plan mondial de lutte contre le paludisme, Genève, OMS, coll. « Rapport techniques », , 45 p. (lire en ligne [[PDF]])
- Suppositoires à base d'artémisinine, p. 12
- (en) Jennifer Keiser et Jürg Utzinger, « Artemisinins and synthetic trioxolanes in the treatment of helminth infections », Current opinion in infectious diseases, Hagerstown MD, Lippincott Williams & Wilkins, vol. 20, no 6, , p. 605-612 (ISSN 0951-7375 et 1473-6527, PMID 17975411, DOI 10.1097/QCO.0b013e3282f19ec4, résumé)
- « Schistosomule », Dictionnaire des sciences animales, sur cirad.fr (consulté le )
- Pierre Allain, « Traitement de la schistosomiase ou bilharziose », Magazine, sur pharmacorama.com, (consulté le )
- (en) Lai H, Sasaki T, Singh NP, Messay A, « Effects of artemisinin-tagged holotransferrin on cancer cells », Life Sci, vol. 76, no 11, , p. 1267-79. (PMID 15642597)
- Le Point Afrique, « Covid-19 : le Covid-Organics, ce remède que Madagascar a validé », Le Point, (lire en ligne)
- « L’OMS soutient une médecine traditionnelle reposant sur des éléments scientifiques probants », sur Regional Office for Africa (consulté le )
- http://investor.mateon.com/news-releases/news-release-details/mateon-expands-its-covid-19-therapeutic-program-include
- (en) R. Price, M. van Vugt et al., « Adverse effects in patients with acute falciparum malaria treated with artemisinin derivatives », The American Journal of Tropical Medicine and Hygiene, Sheridan, The Sheridan Press, vol. 60, no 4, , p. 547-555 (ISSN 0002-9637, OCLC 1724826, lire en ligne [[html]])
- (en) Annemarie R. Kreeftmeijer-Vegter, Perry J. van Genderen et al., « Treatment outcome of intravenous artesunate in patients with severe malaria in the Netherlands and Belgium », Malaria Journal, Londres, BioMed Central, travellers' Malaria, vol. 11, no 102, (DOI 10.1186/1475-2875-11-102, lire en ligne [[html]])
- (en) Thomas Zoller, Thomas Junghanss et al., « Intravenous Artesunate for Severe Malaria in Travelers, Europe », Emerging Infectious Diseases, Atlanta, CDC, vol. 17, no 5, , p. 771-777 (DOI 10.3201/eid1705.101229, lire en ligne [[html]])
- (de) « Umweltbezogene Angaben » [[PDF]], Artemisinin, sur carl-roth.de, (consulté le ), p. 6
Bibliographie
- n.c., Suppositoires à base d'artémisinine : Rapport d'une consultation informelle de l'OMS des 27 et 28 mars 2006 (Rapport), Genève, OMS, coll. « Programme mondial de lutte antipaludique » (no WHO/HTM/MAL/2006.1118), , 24 p. (ISBN 978-92-4-259560-4, lire en ligne [[PDF]]) — Classification NLM : WC 770
- (en) Christopher Whitty, Alan Court et al., Report of the 2008 Artemisinin Enterprise Conference : Meeting the Malaria Treatment Challenge: Effective introduction of new technologies for a sustainable supply of ACTs, The Artemisinin Enterprise, , 49 p. (lire en ligne [[PDF]])
- Y. Rao, D. Zhang et R. Li, Tu Youyou and the Discovery of Artemisinin: 2015 Nobel Laureate in Physiology or Medicine, Singapore, World Scientific Publishing Co., (ISBN 978-7-5046-6996-4, lire en ligne)
- Y. Tu, From Artemisia annua L. to Artemisinins: The Discovery and Development of Artemisinins and Antimalarial Agents, Academic Press, (ISBN 9780128116562, lire en ligne)
- Tu Youyou, De Artemisia Annua L. aux artemisinines - La découverture et le développement des artemisinines et des agents antipaludiques, EDP sciences, Quintesciences, 2019, (ISBN 978-2-7598-2219-5).
Articles connexes
- Portail de la chimie
- Portail de la médecine
- Portail de la pharmacie
- Portail de la parasitologie





