Adrafinil
L'adrafinil est un psychoanaleptique, c'est-à-dire une molécule qui stimule les centres de l'éveil dans le cerveau, découverte à la fin des années 1970 par les laboratoires Lafon, qui fut commercialisée par les Laboratoires Cephalon sous le nom Olmifon, avant d'être retirée du marché français en 2011[3]. Ce médicament n'était délivré que sur prescription, pour traiter les troubles de la vigilance et certains symptômes neurologiques chez le sujet âgé[4].
| Adrafinil | |
| |
| Identification | |
|---|---|
| Nom UICPA | 2-[(diphénylméthyl)sulfinyl]-N-hydroxyacétamide |
| No CAS | |
| No ECHA | 100.058.440 |
| No CE | 264-303-1 |
| SMILES | |
| InChI | |
| Propriétés chimiques | |
| Formule | C15H15NO3S [Isomères] |
| Masse molaire[1] | 289,35 ± 0,019 g/mol C 62,26 %, H 5,23 %, N 4,84 %, O 16,59 %, S 11,08 %, |
| Données pharmacocinétiques | |
| Demi-vie d’élim. | 1 heure[2] |
| Unités du SI et CNTP, sauf indication contraire. | |
Historique
L'adrafinil fut découvert à la fin des années 1970 par des scientifiques travaillant avec le laboratoire Lafon, qui fut le premier laboratoire d'approvisionnement de ce médicament en France. En 1986, l'adrafinil était alors proposé comme traitement expérimental pour la narcolepsie. Plus tard, ce même laboratoire développa un autre médicament basé sur un isomère de fonction de l'adrafinil : le modafinil.
Après plusieurs évaluations par la Haute Autorité de Santé (en 2004, 2006 et 2011)[3] considérant le bénéfice-risque de l'adrafinil insuffisant pour accorder une prise en charge des remboursements par la sécurité sociale, l'adrafinil est finalement retiré du marché français le . L'autorisation de mise sur le marché est également retirée au même moment, au niveau européen par l'EMA (Agence Européenne des Médicaments).
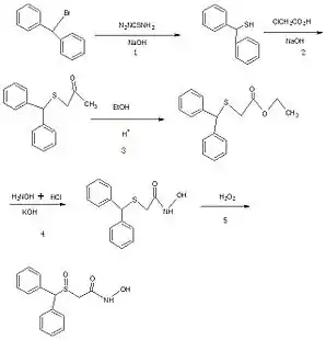
Synthèse

Pharmacologie
Le spectre pharmacologique atypique de l'adrafinil ne permet pas de le classer dans le cadre habituel des médicaments d'action centrale : psychotoniques classiques, antidépresseurs ou anxiolytiques. Il est néanmoins considéré comme un psychotonique non amphétaminique[5].
Mécanisme d'action
Le mécanisme d'action de l'adrafinil, ainsi que celui du modafinil qui lui est apparenté, n'est pas clair, les chercheurs supposent que ces molécules servent d'agonistes aux récepteurs adrénergiques α1. Ces molécules agissent probablement par activation des récepteurs post-synaptiques récepteurs α1-adrénergiques situés dans les centres de vigilance et l'éveil du cerveau. En effet, les effets stimulants de l'adrafinil sont bloqués en présence de prazosine (un antagoniste des récepteurs α1), de yohimbine (un antagoniste des récepteurs α2t), ou de phénoxybenzamine (en) (antagoniste mixte des récepteurs α)[6]. Il est à noter que le blocage des voies de synthèse des catécholamines n'empêche pas l'action de l'adrafinil, ce qui confirme son mode d'action différent de celui des amphétamines[7].
L'adrafinil étant le précurseur chimique du modafinil, un délai est nécessaire pour que le premier métabolite s'accumule à des niveaux actifs dans le sang. C'est probablement la raison pour laquelle le modafinil possède une plus grande activité adrénergique α1 sélective que l'adrafinil. Cette hypothèse est étayée par la faiblesse des mécanismes impliqués et le fait que le modafinil puisse réagir avec d'autres réactifs. Les chercheurs n'ont pas encore mis en évidence le mécanisme commun entre les deux molécules.
Chez l'homme, lorsque l'adrafinil est pris par voie orale et à jeun, l'absorption intestinale est rapide. Sa demi-vie d'absorption est de 12 ± 3 minutes. Sa concentration plasmatique maximale est atteinte en 0,9 ± 0,2 heure et les effets du médicament apparaissent généralement dans les 45-60 minutes. La liaison aux protéines plasmatiques est élevée mais non saturale (80%), principalement sur l'albumine plasmatique[5].
Précautions
Cas d'usage
L'adrafinil est utilisé dans la prise en charge de ralentissements idéomoteurs et de troubles de la vigilance et de l'attention chez le sujet âgé. Avec ses capacités psychostimulantes, l'utilisation de l'adrafinil hors label s'est développée, principalement pour rester éveillé ou pour se concentrer. L'adrafinil est également considéré comme un nootropique, ce qui amène certains étudiants à l'utiliser en tant que produit dopant scolaire[8]. Il est possible qu'il soit également capable d'améliorer la capacité de création, de maintenir et d'améliorer la mémoire d'une façon plus efficace, en agissant probablement sur les récepteurs du glutamate dans le cerveau.
Contre-indication
L'utilisation de l'adrafinil est déconseillée pendant la grossesse quel qu'en soit le stade en raison de l'insuffisance des données expérimentales et cliniques.
Précaution d'emplois
Chez les patients souffrant d'insuffisance rénale et hépatique grave, la posologie indiquée doit être plus faible (300 à 600 mg par jour, au lieu de 600 à 1 200 mg par jour).
Une surveillance du foie d'une personne utilisant de l'adrafinil pendant des périodes prolongées est recommandée[9] . Il est également conseillé de surveiller les phosphatases alcalines.
Chez les patients épileptiques, l’efficacité du traitement correctement suivi d'un l'anti-comitial doit être confirmée avant la prise d'adrafinil.
L'hypersensibilité du patient à l'un des excipients du comprimé d'adrafinil (excipients du comprimé : amidon de maïs, croscarmellose sodique (E468), povidone (E1201), macrogol (E1521), talc (E553b), stéarate de magnésium (E572), polyacrylate, lactose, dioxyde de titane (E171), glycérol (E422)) doit être vérifiée préalablement à la prescription.
Effets secondaires
- Épisodes transitoires d'agitation, de confusion, d'agressivité ou d'excitation psychique, insomnie. Ces manifestations régressent spontanément avec l'arrêt du traitement, malgré la poursuite du traitement ou en diminuant la dose quotidienne. On ne connaît donc pas les raisons de la diminution de ces manifestations.
- Exceptionnellement : mouvements involontaires ou anormaux de type dyskinésies bucco-faciales, tremblements des extrémités, inversions d'humeur chez des malades maniaco-dépressifs. Ces effets secondaires sont régressifs à l'arrêt du traitement.
- Céphalées, gastralgies, éruptions cutanées ont été rapportées au cours des essais cliniques.
- Chez l'animal, l'adrafinil augmente l'activité locomotrice et diminue la durée du sommeil barbiturique sans induire de stéréotypies ni de comportement d'escalade. Il ne s'oppose pas au ptosis réserpinique. Il ne modifie pas l'hypothermie induite par l'apomorphine. Il diminue la durée de l'immobilité de résignation. Il entraîne une augmentation de l'éveil cortical et comportemental chez le rat et le singe, sans perturber les phénomènes phasiques du sommeil[5].
- Chez l'homme en hypoactivité, l'adrafinil augmente la sensibilité aux stimulations extérieures et la qualité de "présence" et de vigilance en période d'activité diurne, sans modifier les phénomènes phasiques du sommeil[5].
Sécurité et toxicologie
Chez le rat, un mois de traitement par voie orale à 400 mg/kg ou trois mois de traitement jusqu'à 200 mg/kg n'a pas provoqué de signe de toxicité. Mais ils ont été mesurés à 1,250 mg/kg (souris) et 3,400 mg/kg (rats). Une apparente tentative de suicide chez un sujet humain par surdosage en modafinil (4,500 mg aigus) a produit l'insomnie et hyperexcitation qui a infirmé après 24 heures d'hospitalisation.
Chez l'homme, une étude de cas avec adrafinil dosé à 900 mg par jour pendant dix mois a noté le développement de la dyskinésie orofaciale sans tremblements ou d'autres symptômes de la maladie de Parkinson qui ne s'améliore pas sur une absence de quatre mois de la thérapie adrafinil, améliorée avec la dopamine appauvrissant agent de tétrabénazine. L'effet secondaire est également signalé dans une thérapie au modafinil, ce qui suggère que la dyskinésie induite par l'adrafinil peut être associée à sa conversion en modafinil après l'ingestion. Dans le cas de la thérapie au modafinil, le patient de l'étude avait de multiples problèmes médicaux qui peuvent avoir conduit à une clairance réduite du modafinil, ayant pu provoquer cette dyskinésie orofaciale[7],[10].
Les informations de sécurité de l'adrafinil sont incomplètes et défectibles, expliquant la préférence du corps médical pour le modafinil. Les médecins conseillent ainsi de ne pas utiliser l'adrafinil sur de longues périodes, car les effets de la sûreté de la métabolisation de l'adrafinil en modafinil dans le foie reste à prouver.
Avantages et inconvénients de l'adrafinil
- Avantages
- Favorisation efficace de l'éveil
- Augmentation de l'énergie mentale
- Amélioration de l'attention, ce qui en fait une option de gestion potentielle pour les individus avec un TDAH (traitement du trouble du déficit de l'attention avec hyperactivité)
- Amélioration de la capacité à se concentrer
- Effets nootropes possibles
- Propriétés antidépressives et anxiolytiques possibles
- Absence des effets indésirables observés pour d'autres stimulants comme les amphétamines ou la caféine
- Faible coût
- Inconvénients
- Augmentation des enzymes hépatiques, ce qui présente des risques pour la santé si l'utilisation est prolongée,
- Effets secondaires connus: affections cutanées, maux d'estomac et autres troubles gastro-intestinaux connexes
- Effets de confusion et/ou d'anxiété lorsque les effets commencent à s'estomper
- Effets possibles d'hyperstimulation, d'agressivité accrue et d'autres effets secondaires désagréables
- Possible induction de la manie chez des individus génétiquement prédisposés,
Statut juridique
Dopage
L'adrafinil est ajouté à la liste des substances interdites par l'Agence mondiale antidopage (AMA), avec le modafinil, pour tous les compétitions sportives depuis 2004, en raison de son caractère stimulant [7],[9].
Autorisations de mise sur le marché en France et dans le monde
- France
En France, l'adrafinil a été retiré de la vente le . Il fut vendu en France et en Europe sous le nom olmifon jusqu'en , après réévaluation de la molécule par l'EMA (Agence Européenne des Médicaments) qui retira son autorisation de mise sur le marché, citant les effets indésirables connus et un ratio bénéfice-risque insatisfaisant.
- États-Unis
Aux États-Unis, l'adrafinil n'est pas un médicament réglementé, il peut être acheté en pharmacie sans ordonnance, et utilisé au besoin. Il peut également être importé en privé par les citoyens.
- Canada
Au Canada, l'adrafinil est un médicament réglementé, mais il peut être acheté en tant que produit chimique pour la recherche. Il peut également être importé en privé par les citoyens.
- Nouvelle-Zélande
En Nouvelle-Zélande, l'adrafinil est un médicament sur prescription médicale uniquement, il n'est accessible que sur ordonnance.
Notes et références
- Masse molaire calculée d’après « Atomic weights of the elements 2007 », sur www.chem.qmul.ac.uk.
- « Résumé des Caractéristiques du Produit », sur agence-prd.ansm.sante.fr (consulté le )
- (en) « OLMIFON (adrafinil) », sur Haute Autorité de Santé (consulté le )
- « Adrafinil : substance active à effet thérapeutique », sur VIDAL (consulté le )
- « Résumé des Caractéristiques du Produit », sur agence-prd.ansm.sante.fr (consulté le )
- (en) Jacques Duteil, Francis A. Rambert, Jeanne Pessonnier et Roger Gombert, « A possible α-adrenergic mechanism for drug (CRL 40028)-induced hyperactivity », European Journal of Pharmacology, vol. 59, nos 1-2, , p. 121–123 (DOI 10.1016/0014-2999(79)90033-5, lire en ligne, consulté le )
- (en) Examine.com, « Adrafinil Supplement — Health Benefits, Dosage, Side Effects », sur Examine.com, (consulté le ).
- le figaro, « Le modafinil, un dopant utilisé par un quart des étudiants anglais », sur Le Figaro Etudiant (consulté le )
- https://archive.wikiwix.com/cache/20150223120352/http://monindependancefinanciere.com/lenciclopedie/seccion-a/adrafinil.php.
- (en) Rachel V. Maser, Bruce Liao et Rupang Pandya, « Modafinil-Induced Orofacial Dyskinesia in an Elderly Patient With Refractory Bipolar Depression », The Journal of Neuropsychiatry and Clinical Neurosciences, vol. 22, no 4, , p. 451.e26–451.e26 (ISSN 0895-0172 et 1545-7222, DOI 10.1176/jnp.2010.22.4.451.e26, lire en ligne, consulté le )
Articles connexes
- Portail de la chimie
- Portail de la médecine
- Portail de la pharmacie
