Acide téichoïque

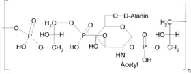
L'acide téichoïque est un acide qui permet au peptidoglycane de s'attacher à la membrane des bactéries. Il est présent sur les Gram + mais pas sur les Gram -, ce qui explique le fait que les bactéries à Gram - possèdent beaucoup moins de peptidoglycane (5 à 20 % de la paroi). Les acides téichoïques sont composés de phosphates associés au glycérol ou au ribitol.

Acide téichoïque
Image illustrative de l’article Acide téichoïque
Acide téichoïque des bactéries Micrococcaceae
Identification
No CAS 9041-38-7
ChEBI 30049

Unités du SI et CNTP, sauf indication contraire.

Voir aussi

  • icône décorative Portail de la biochimie
  • icône décorative Portail de la chimie
Cet article est issu de Wikipedia. Le texte est sous licence Creative Commons – Attribution – Partage à l’identique. Des conditions supplémentaires peuvent s’appliquer aux fichiers multimédias.