Acide mucique
L’acide mucique, ou acide galactarique, est un composé organique de formule chimique HOOC(–CHOH)4–COOH. C'est un acide aldarique obtenu par oxydation à l'acide nitrique du galactose ou de composés contenant du galactose comme le lactose, le dulcitol (galacticol), le 5-désoxyinositol (en) (quercitol) ou la plupart des variétés de gomme naturelle. Il s'agit d'une poudre cristallisée fondant vers 210 à 230 °C, insoluble dans l'éthanol et pratiquement insoluble dans l'eau froide. En raison de la symétrie Ci de la molécule, elle est optiquement inactive bien qu'elle ait des atomes de carbone chiraux : il s'agit d'un composé méso.
| Acide mucique | |
|   | |
| Structure de l'acide mucique | |
| Identification | |
|---|---|
| Nom UICPA | acide (2S,3R,4S,5R)-2,3,4,5-tétrahydroxyhexanedioïque | 
| Synonymes | acide méso-galactarique | 
| No CAS | |
| No ECHA | 100.007.641 | 
| No CE | 208-404-0 | 
| No RTECS | LW5180000 | 
| PubChem | 3037582 | 
| ChEBI | 30852 | 
| SMILES | |
| InChI | |
| Apparence | poudre beige inodore[1] | 
| Propriétés chimiques | |
| Formule | C6H10O8  [Isomères] | 
| Masse molaire[2] | 210,138 8 ± 0,007 9 g/mol C 34,29 %, H 4,8 %, O 60,91 %, | 
| Propriétés physiques | |
| T° fusion | 230 °C[1] | 
| Solubilité | 3 g/L[1] à 14 °C | 
| Unités du SI et CNTP, sauf indication contraire. | |
Chauffé à 140 °C en présence de pyridine, l'acide mucique donne de l'acide allomucique[3]. Traité avec l'acide chlorhydrique concentré pendant suffisamment longtemps, il donne de l'acide dicarboxylique αα′ de furfural tandis que, chauffé en présence de sulfure de baryum, il donne l'acide ténoïque (2-thiophènecarboxylique). La distillation sèche du sel d'ammonium libère du dioxyde de carbone, de l'ammoniac, du pyrrole et d'autres substances. L'acide mucique fondu avec des bases fortes donne de l'acide oxalique.
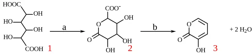
En présence d'hydrogénosulfate de potassium KHSO4, l'acide mucique donne la 3-hydroxy-2-pyrone par déshydratation et décarboxylation.
 Conversion de l'acide mucique (1) en 3-hydroxy-2-pyrone (3) sous l'action d'hydrogénosulfate de potassium à 160 °C pendant quatre heures (a) puis d'acide chlorhydrique jusqu'à pH = 7 (b). Conversion de l'acide mucique (1) en 3-hydroxy-2-pyrone (3) sous l'action d'hydrogénosulfate de potassium à 160 °C pendant quatre heures (a) puis d'acide chlorhydrique jusqu'à pH = 7 (b).
L'acide mucique peut être utilisé comme précurseur de l'acide adipique dans la production du nylon par une réaction de désoxydéshydratation (en) catalysée au rhénium[4].
Notes et références
    
- « Fiche du composé Mucic acid, 98% », sur Alfa Aesar (consulté le ).
- Masse molaire calculée d’après « Atomic weights of the elements 2007 », sur www.chem.qmul.ac.uk.
- (en) C. L. Butler et Leonard H. Cretcher, « The preparation of allomucic acid and certain of its derivatives », Journal of the American Chemical Society, vol. 51, no 7, , p. 2167-2170 (DOI 10.1021/ja01382a029, lire en ligne)
- (en) Xiukai Li, Di Wu, Ting Lu, Guangshun Yi, Haibin Su et Yugen Zhang, « Highly Efficient Chemical Process To Convert Mucic Acid into Adipic Acid and DFT Studies of the Mechanism of the Rhenium-Catalyzed Deoxydehydration », Angewandte Chemie International Edition, vol. 53, no 16, , p. 4200-4204 (PMID 24623498, DOI 10.1002/anie.201310991, lire en ligne)
- Portail de la chimie
