2-Méthylhexane
Le 2-Méthylhexane, ou isoheptane, est un hydrocarbure saturé de la famille des alcanes de formule C7H16. Il est un des neuf isomères de l'heptane.
| 2-Méthylhexane | ||
| ||
| ||
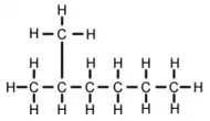
| Formule développée et représentation 3D du 2-méthylhexane | ||
| Identification | ||
|---|---|---|
| Nom UICPA | 2-méthylhexane | |
| Synonymes |
isoheptane |
|
| No CAS | ||
| No ECHA | 100.045.994 100.008.847, 100.045.994 | |
| No CE | 209-730-6 | |
| PubChem | 11582 | |
| SMILES | ||
| InChI | ||
| Apparence | liquide incolore, d'odeur caractéristique[1] | |
| Propriétés chimiques | ||
| Formule | C7H16 [Isomères] |
|
| Masse molaire[2] | 100,201 9 ± 0,006 7 g/mol C 83,91 %, H 16,09 %, |
|
| Propriétés physiques | ||
| T° fusion | −118,3 °C[3] | |
| T° ébullition | 90 °C[3] | |
| Solubilité | dans l'eau : nulle[1] | |
| T° d'auto-inflammation | 280 °C[3] | |
| Point d’éclair | −10 °C[3] | |
| Limites d’explosivité dans l’air | 1–6 %vol 42–250 g·m-3[3] |
|
| Pression de vapeur saturante | à 14,9 °C : 5,3 kPa[1] | |
| Point critique | 2 750 kPa[4], 257,25 °C[5] | |
| Thermochimie | ||
| S0gaz, 1 bar | 419,99 J·mol-1·K-1[6]. | |
| S0liquide, 1 bar | 323,34 J·mol-1·K-1[6] | |
| ΔfH0gaz | −195 kJ·mol-1[6] | |
| ΔfH0liquide | −229,8 kJ·mol-1[6] | |
| ΔfusH° | −9,184 kJ·mol-1 à −118,25 °C[6] | |
| ΔvapH° | 34,98 kJ·mol-1[6] | |
| Cp | 164,5 J·mol-1·K-1 (25 °C, gaz) 222,92 J·mol-1·K-1 (25 °C, liquide)[6] |
|
| PCI | −4 811,5 kJ·mol-1[6] | |
| Précautions | ||
| SGH[8] | ||
![]() ![]() ![]() ![]() Danger |
||
| SIMDUT[9] | ||
![]() B2, |
||
| NFPA 704 | ||
| Transport | ||
| Unités du SI et CNTP, sauf indication contraire. | ||
Notes et références
- ISOHEPTANE, Fiches internationales de sécurité chimique
- Masse molaire calculée d’après « Atomic weights of the elements 2007 », sur www.chem.qmul.ac.uk.
- Entrée « 2-Methylhexane » dans la base de données de produits chimiques GESTIS de la IFA (organisme allemand responsable de la sécurité et de la santé au travail) (allemand, anglais), accès le 16 avril 2009 (JavaScript nécessaire)
- (en) Iwona Owczarek et Krystyna Blazej, « Recommended Critical Pressures. Part I. Aliphatic Hydrocarbons », J. Phys. Chem. Ref. Data, vol. 35, no 4, , p. 1461 (DOI 10.1063/1.2201061)
- (en) Iwona Owczarek et Krystyna Blazej, « Recommended Critical Temperatures. Part I. Aliphatic Hydrocarbons », J. Phys. Chem. Ref. Data, vol. 32, no 4, , p. 1411 (DOI 10.1063/1.1556431)
- « Hexane, 2-methyl- », sur nist.gov (consulté le ).
- (en) Carl L. Yaws, Handbook of Thermodynamic Diagrams : Organic Compounds C8 to C28, vol. 2, Huston, Texas, Gulf Pub. Co., , 396 p. (ISBN 0-88415-858-6)
- Numéro index dans le tableau 3.1 de l'annexe VI du règlement CE N° 1272/2008 (16 décembre 2008)
- « Méthyl-2 hexane » dans la base de données de produits chimiques Reptox de la CSST (organisme québécois responsable de la sécurité et de la santé au travail), consulté le 25 avril 2009
- Portail de la chimie
Cet article est issu de Wikipedia. Le texte est sous licence Creative Commons – Attribution – Partage à l’identique. Des conditions supplémentaires peuvent s’appliquer aux fichiers multimédias.








