1,3-dipôle

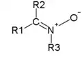
Un 1,3-dipôle ou dipôle 1,3 est un type de composés organiques avec un système de 4 électrons-π délocalisés sur trois atomes. Ils réagissent dans les cycloadditions 1,3-dipolaires[1],[2].





de haut en bas
azotures, nitrones, et
composés nitro sont
des exemples de 1,3-dipôles.

Les dipôles 1,3 connus sont :

Notes et références

  1. Francis A. Carey, Richard J. Sundberg, Advanced Organic Chemistry, Part A: Structure and mechanisms, Springer, 2007, p. 874. (ISBN 978-0-387-44897-8).
  2. (en) « dipolar compounds », IUPAC, Compendium of Chemical Terminology Gold Book »], Oxford, Blackwell Scientific Publications, 1997, version corrigée en ligne :  (2019-), 2e éd. (ISBN 0-9678550-9-8)
  • icône décorative Portail de la chimie
Cet article est issu de Wikipedia. Le texte est sous licence Creative Commons – Attribution – Partage à l’identique. Des conditions supplémentaires peuvent s’appliquer aux fichiers multimédias.