Éther d'énol
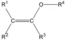
Un éther d’énol est un alcène avec un substituant alkoxy donc de structure générale R1R2C=CR3–O–R4 avec R un groupe alkyle ou aryle. Les éthers d'énol comme les énamines sont des alcènes activés ou alcènes riches en électron à cause de l'atome d'oxygène (ou d'azote pour les énamines) qui partage ses doublets libres avec la double liaison et forme une structure de résonance avec l'ion oxonium correspondant. Cette propriété rend les substrats réactifs dans certaines réactions organiques telles que la réaction de Diels-Alder. Un éther d'énol peut être considéré comme l'éther de l'énolate correspondant, d'où son nom. Deux éthers d'énol simples sont l'éthylvinyléther et le 2,3-dihydrofurane.

La structure du groupe éther d'énol.
Cet article est issu de Wikipedia. Le texte est sous licence Creative Commons – Attribution – Partage à l’identique. Des conditions supplémentaires peuvent s’appliquer aux fichiers multimédias.